偶奇の組みで要素が変わる行列の作成
Discussion
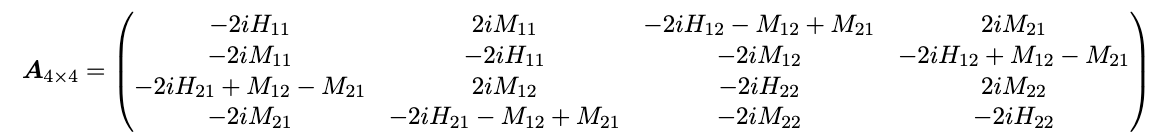
やりたいこと
研究の合間にMathematica(普段はあまり使いません)で遊んでいたのですが、その際、上図の$4\times 4$の行列を作りたかったので色々考えてみたのですができませんでした。
この行列の一般形は$4n\times 4n$で、その要素は次のようになっています。
このように行列の成分の偶奇の組み合わせでそれが変わってきます。添字は$j,k=1,2,\cdots,2n$です。
どうにか最小の行列である$4\times 4$を作ることはできないでしょうか(可能か不可能かだけでも結構です)。どなたかご教授いただければ幸いです。よろしくお願いします。
もしこの行列がどういう経緯で出てきたのかにご興味がある方がいらっしゃればこちらの論文をご覧ください。
https://arxiv.org/abs/0801.1257
自分で試したこと
私ができたことは次のような条件分岐させてそれぞれの結果を表示させ、それをループして繰り返すことのみです。
このように行列Aの行は求まりました。ただしこれはどうやらただ表示させたのに過ぎないのと、添字はsolveで解いた解のみを表示させたいです。つまり使える(計算が行える)行列を作りたいです。
0 likes


