はじめに
LabVIEWの3次元コンタープロット関数を使って、2次元正規分布の確率密度関数を3次元グラフ上に表示するプログラムを作成しました。
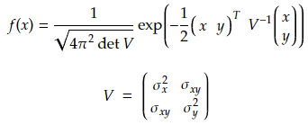
xおよびyの平均値を0とした、下記の確率密度関数を使って確率密度を計算しています。

処理のながれ
- xおよびyの標準偏差および相関係数を設定可能とし、それらを使って共分散行列を作成します。
- 共分散行列の逆行列と行列式を計算します。
- expの指数部を計算します。
- 3Dコンターへプロットします。
下にあるダイアグラムをながめた方が分かりやすいかもしれません。
フロントパネルとダイアグラム
おわりに
様々な角度からグラフの形状を眺めることで、2次元正規分布の理解の一助になれば幸いです。
ちなみにですが、LabVIEWの無料版は以下リンクからダウンロードできます。
LabVIEW Community Edition
https://www.ni.com/ja-jp/shop/labview/select-edition/labview-community-edition.html



