以下の統計検定2級対策動画で用いられているスライドの一部です。
このテーマが重要な理由
ビジネスや研究の現場では、次のような問いが頻繁に生じます。
「2つのグループの平均値に、本当に意味のある差はあるのか?」
- A/Bテストで、新旧デザインのクリック率に差はあるか?
- 2つの製造ラインで作られた製品の品質に差はあるか?
このような問いに統計的な根拠を持って答える手法が 「母平均の差の信頼区間」 の推定です。
このスライドの対象者
- 標本と母集団、平均、分散といった基本的な統計用語を理解している方
- 正規分布とt分布の基本的な特性について知識がある方
- 2つのグループ間の差を統計的に評価したいと考えている方
母平均の差の信頼区間とは?
2つの独立した母集団から抽出した標本に基づき、 母平均の差 $\mu_1 - \mu_2$ が含まれると統計的に期待される 範囲 のことです。
例えば、「95%信頼区間」を算出した場合、その区間内に 真の母平均の差 が含まれると95%の確からしさで期待できます。
信頼区間から何がわかるか?
信頼区間を求めることで、主に2つの点を評価できます。
-
差の大きさ
- 2つの母平均の差が、どの程度の範囲にあると推定されるか。
-
差の有無(これが最重要)
- 信頼区間が 0 を含むかどうかが、判断の鍵となります。
信頼区間の解釈:可視化イメージ
-
差があるとは言えない場合
- 信頼区間が 0 をまたぐ。
- これは、母平均の差が 0 である可能性を否定できないことを意味します。
-
差があると言える場合
- 信頼区間が 0 をまたがない。
- これは、母平均に統計的に意味のある差が存在することを示唆します。
信頼区間の解釈:可視化イメージ
import matplotlib.pyplot as plt
import numpy as np
plt.rcParams['font.family'] = 'sans-serif'
plt.rcParams['font.sans-serif'] = ['DejaVu Sans']
fig, (ax1, ax2) = plt.subplots(2, 1, figsize=(8, 5), sharex=True)
# Case: Not Significant (Includes zero)
ax1.errorbar(0.2, 0, xerr=0.5, fmt='o', capsize=5, color='royalblue', markersize=8)
ax1.axvline(0, color='red', linestyle='--')
ax1.set_yticks([])
ax1.set_title('Including Zero (No Significant Difference)')
ax1.text(0.2, 0.1, 'e.g., CI: [-0.3, 0.7]', ha='center', va='bottom')
# Case: Significant (Does not include zero)
ax2.errorbar(0.5, 0, xerr=0.3, fmt='o', capsize=5, color='royalblue', markersize=8)
ax2.axvline(0, color='red', linestyle='--')
ax2.set_yticks([])
ax2.set_xlabel('Difference in Means (mu1 - mu2)')
ax2.set_title('Not Including Zero (Significant Difference)')
ax2.text(0.5, 0.1, 'e.g., CI: [0.2, 0.8]', ha='center', va='bottom')
plt.tight_layout()
plt.show()
算出方法の3つのケース
信頼区間の算出方法は、母集団の分散に関する情報によって、主に3つのケースに分類されます。
-
母分散が 既知 の場合
-
標準正規分布を使用
-
-
母分散が 未知だが等しい と仮定できる場合
-
t分布を使用
-
-
母分散が 未知で等しいと仮定できない 場合
-
t分布を使用( Welchの方法 )
-
Case 1: 母分散が既知の場合
Case 1: 具体例
ある製薬会社が2種類の睡眠導入剤(A薬, B薬)の効果を比較しています。過去のデータから母分散は分かっています。
-
A薬
- 標本サイズ $n_1=100$
- 標本平均 $\bar{x}_1=2.5$ 時間
- 母分散 $\sigma_1^2=1.21$
-
B薬
- 標本サイズ $n_2=120$
- 標本平均 $\bar{x}_2=2.1$ 時間
- 母分散 $\sigma_2^2=1.44$
課題: 母平均の差 $\mu_1 - \mu_2$ に対する 95%信頼区間 を求める。
Case 1: 計算手順
-
標本平均の差
- $\bar{x}_1 - \bar{x}_2 = 2.5 - 2.1 = 0.4$
-
標準誤差の計算
- $\sqrt{\frac{\sigma_1^2}{n_1} + \frac{\sigma_2^2}{n_2}} = \sqrt{\frac{1.21}{100} + \frac{1.44}{120}} \approx 0.1552$
-
信頼区間の算出
- 95%信頼区間の場合、z値は1.96
- $0.4 \pm 1.96 \times 0.1552$
計算すると、信頼区間は [0.0958, 0.7042] となります。
Case 1: 結果の解釈
算出された95%信頼区間は [0.0958, 0.7042] です。
- この区間は 0 を含んでいません。
- したがって、A薬の睡眠時間延長効果は、B薬よりも 統計的に有意に大きい と結論付けられます。
import matplotlib.pyplot as plt
plt.rcParams['font.family'] = 'sans-serif'
plt.rcParams['font.sans-serif'] = ['DejaVu Sans']
fig, ax = plt.subplots(figsize=(8, 3))
ax.errorbar(0.4, 0, xerr=(0.7042 - 0.0958)/2, fmt='o', capsize=5, color='royalblue', markersize=8)
ax.axvline(0, color='red', linestyle='--')
ax.set_yticks([])
ax.set_xlabel('Difference in Means (Drug A - Drug B)')
ax.set_title('Case 1: 95% Confidence Interval')
ax.grid(axis='x', linestyle='--', alpha=0.6)
plt.tight_layout()
plt.show()
Case 1: 一般化と公式
前提条件
- 2つの母集団はそれぞれ正規分布に従う。
- 2つの母分散 $\sigma_1^2$ と $\sigma_2^2$ の値が分かっている。
補足: この例のようにサンプルサイズが十分に大きい場合(目安: 各30以上)、中心極限定理により、たとえ母集団が厳密な正規分布でなくても、この方法は近似的に有効となります。
信頼区間の公式
信頼係数を $1-\alpha$ とすると、母平均の差の信頼区間は以下の式で計算されます。
$$
(\bar{x}_1 - \bar{x}2) \pm z{\alpha/2} \sqrt{\frac{\sigma_1^2}{n_1} + \frac{\sigma_2^2}{n_2}}
$$
- $z_{\alpha/2}$ は標準正規分布の上側 $\alpha/2$ パーセント点です。
Case 2: 母分散が未知だが等しいと仮定できる場合
Case 2: 具体例
ある食品メーカーが2つのレシピ(X, Y)で作ったクッキーの糖度を比較しています。母分散は不明ですが、等しいと仮定します。また、母集団(各レシピの糖度)は正規分布に従うとします。
-
レシピX
- $n_1=10$, $\bar{x}_1=15.2$, $s_1^2=1.8$
-
レシピY
- $n_2=12$, $\bar{x}_2=14.1$, $s_2^2=2.1$
課題: 糖度の母平均の差 $\mu_1 - \mu_2$ に対する 95%信頼区間 を求める。
Case 2: 計算手順
母分散が未知のため、 プールされた分散 $s^2$ を計算し、 t分布 を用います。
-
プールされた分散 $s^2$ の計算
- $s^2 = \frac{(10-1) \times 1.8 + (12-1) \times 2.1}{10+12-2} = 1.965$
-
自由度とt値の確認
- 自由度 $df = 10+12-2=20$
- 自由度20の95%信頼区間のt値は $t_{0.025}(20) = 2.086$
-
信頼区間の算出
- $(15.2 - 14.1) \pm 2.086 \sqrt{1.965(\frac{1}{10} + \frac{1}{12})}$
計算すると、信頼区間は [-0.152, 2.352] となります。
Case 2: 結果の解釈
算出された95%信頼区間は [-0.152, 2.352] です。
- この区間は 0 をまたいでいます。
- したがって、このデータからは、2つのレシピの糖度に 統計的に有意な差があるとは言えません 。
import matplotlib.pyplot as plt
plt.rcParams['font.family'] = 'sans-serif'
plt.rcParams['font.sans-serif'] = ['DejaVu Sans']
fig, ax = plt.subplots(figsize=(8, 3))
ax.errorbar(1.1, 0, xerr=(2.352 - (-0.152))/2, fmt='o', capsize=5, color='royalblue', markersize=8)
ax.axvline(0, color='red', linestyle='--')
ax.set_yticks([])
ax.set_xlabel('Difference in Means (Recipe X - Recipe Y)')
ax.set_title('Case 2: 95% Confidence Interval')
ax.grid(axis='x', linestyle='--', alpha=0.6)
plt.tight_layout()
plt.show()
Case 2: 一般化と公式
前提条件
- 2つの母集団はそれぞれ正規分布に従う。
- 2つの母分散は未知だが、等しいと仮定できる。
信頼区間の公式
まず、プールされた分散 $s^2$ を計算します。
$$
s^2 = \frac{(n_1-1)s_1^2 + (n_2-1)s_2^2}{n_1+n_2-2}
$$
この $s^2$ を使い、信頼区間を求めます。
$$
(\bar{x}_1 - \bar{x}2) \pm t{\alpha/2}(n_1+n_2-2) \sqrt{s^2(\frac{1}{n_1} + \frac{1}{n_2})}
$$
注: 今回の例のようにサンプルサイズが小さい場合、「母集団が正規分布に従う」という前提が特に重要になります。
Case 3: 母分散が未知で等しいと仮定できない場合
(Welchの方法)
Case 3: 具体例
新型エンジンと旧型エンジンの燃費性能を比較します。母分散は未知で、等しいという保証もありません。また、それぞれのエンジンの燃費の分布は正規分布に従うとします。
-
新型エンジン
- $n_1=18$, $\bar{x}_1=22.5$ km/L, $s_1^2=2.5$
-
旧型エンジン
- $n_2=15$, $\bar{x}_2=20.8$ km/L, $s_2^2=4.8$
課題: 燃費の母平均の差 $\mu_1 - \mu_2$ に対する 99%信頼区間 を求める。
Case 3: 計算手順
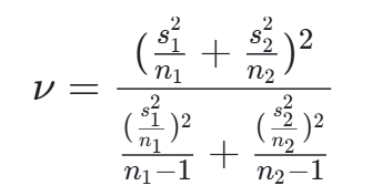
Welchの方法 では、特別な式で自由度 $\nu$ を計算します。
-
自由度 $\nu$ の計算 (Welch-Satterthwaiteの式)

- 上記の複雑な計算の結果、$\nu \approx 24.95$ となります。
- ここでは切り捨てて、自由度を 24 として扱います。
-
t値の確認
- 自由度24の99%信頼区間のt値は $t_{0.005}(24) = 2.797$
-
信頼区間の算出
- $(22.5 - 20.8) \pm 2.797 \sqrt{\frac{2.5}{18} + \frac{4.8}{15}}$
計算すると、信頼区間は [-0.1947, 3.5947] となります。
Case 3: 計算手順
Welchの方法 では、特別な式で自由度 $\nu$ を計算します。
-
自由度 $\nu$ の計算 (Welch-Satterthwaiteの式)
- 以下の式に値を代入して計算します。
$$
\nu = \frac{(\frac{s_1^2}{n_1} + \frac{s_2^2}{n_2})^2}{\frac{(\frac{s_1^2}{n_1})^2}{n_1-1} + \frac{(\frac{s_2^2}{n_2})^2}{n_2-1}}
$$ - 計算すると、$\nu\approx 24.95$ となります。ここでは計算結果を切り捨て、自由度を 24 として扱います。
- 以下の式に値を代入して計算します。
-
t値の確認
- 自由度24の99%信頼区間のt値は $t_{0.005}(24) = 2.797$
-
信頼区間の算出
- $(22.5 - 20.8) \pm 2.797 \sqrt{\frac{2.5}{18} + \frac{4.8}{15}}$
計算すると、信頼区間は [-0.1947, 3.5947] となります。
Case 3: 結果の解釈
算出された99%信頼区間は [-0.1947, 3.5947] です。
- この区間は 0 をまたいでいます。
- したがって、信頼係数99%という厳しい基準では、両エンジンの燃費に 統計的に有意な差があるとは断定できません 。
import matplotlib.pyplot as plt
plt.rcParams['font.family'] = 'sans-serif'
plt.rcParams['font.sans-serif'] = ['DejaVu Sans']
fig, ax = plt.subplots(figsize=(8, 3))
ax.errorbar(1.7, 0, xerr=(3.5947 - (-0.1947))/2, fmt='o', capsize=5, color='royalblue', markersize=8)
ax.axvline(0, color='red', linestyle='--')
ax.set_yticks([])
ax.set_xlabel('Difference in Means (New - Old)')
ax.set_title('Case 3: 99% Confidence Interval (Welch\'s method)')
ax.grid(axis='x', linestyle='--', alpha=0.6)
plt.tight_layout()
plt.show()
Case 3: 一般化と公式
前提条件
- 2つの母集団はそれぞれ正規分布に従う。
- 2つの母分散は未知であり、等しいと仮定することもできない。
信頼区間の公式
まず、自由度 $\nu$ を計算します。
$$
\nu = \frac{(\frac{s_1^2}{n_1} + \frac{s_2^2}{n_2})^2}{\frac{(\frac{s_1^2}{n_1})^2}{n_1-1} + \frac{(\frac{s_2^2}{n_2})^2}{n_2-1}}
$$
この $\nu$ を用いて、信頼区間を求めます。
$$
(\bar{x}_1 - \bar{x}2) \pm t{\alpha/2}(\nu) \sqrt{\frac{s_1^2}{n_1} + \frac{s_2^2}{n_2}}
$$
まとめ
母平均の差の信頼区間を求める3つのケースを解説しました。
| ケース | 母分散 | 使用する分布 | 主な特徴 |
|---|---|---|---|
| Case 1 | 既知 | 標準正規分布 (Z分布) | 理論の基礎 |
| Case 2 | 未知だが等分散を仮定 | t分布 | プールされた分散 $s^2$ を使用 |
| Case 3 | 未知で不等分散を仮定 | t分布 (Welchの方法) | 特殊な式で自由度を計算 |
どの手法を選択するかは、データが持つ前提条件によって決まります。信頼区間を正しく活用し、データに基づいた意思決定を行いましょう。





