LaTeX の数式内で複数の行列を改行して書きたい
Latex の数式内で数式を改行する場合のコマンドは,
ご存じの方が多いだろう.
そこで, 本記事では, 数式内で複数の行列を縦に並べるコマンドを記します.
使用する package は, "\usepackage{amsmath,amssymb}"です.
"equation"での数式改行
"equation"内で"split"を使用する.
まず, 下図がソースコード例.

これを, コンパイルすると下図.

"equation"での行列表示
"equation"内で"array"を使用する.
まず, 下図がソースコード例.

これを, コンパイルすると下図.

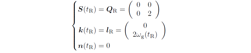
"equation"における複数の行列の表示
"equation"内で"split"と"array"を組み合わせる.
まず, 下図がソースコード例.

これを, コンパイルすると下図.

ちなみに, "equation"の直後に"*"をつけると, 数式番号の参照が表示されないです.
粗末なまとめ
- "equation"内の改行は"split"
- "equation"内の行列表示は"array"
- "equation"内の行列の改行は"split+array"
まあ, "equation"を使用した数式はあまりよろしくない説がありますが,
そこはよしなに取り計らってください.
cf) 数式例で使用したものは, 連立 Riccati 微分方程式の終端条件です.
以上, potato-san でした.