統計学実践ワークブック 解答例【第14章】
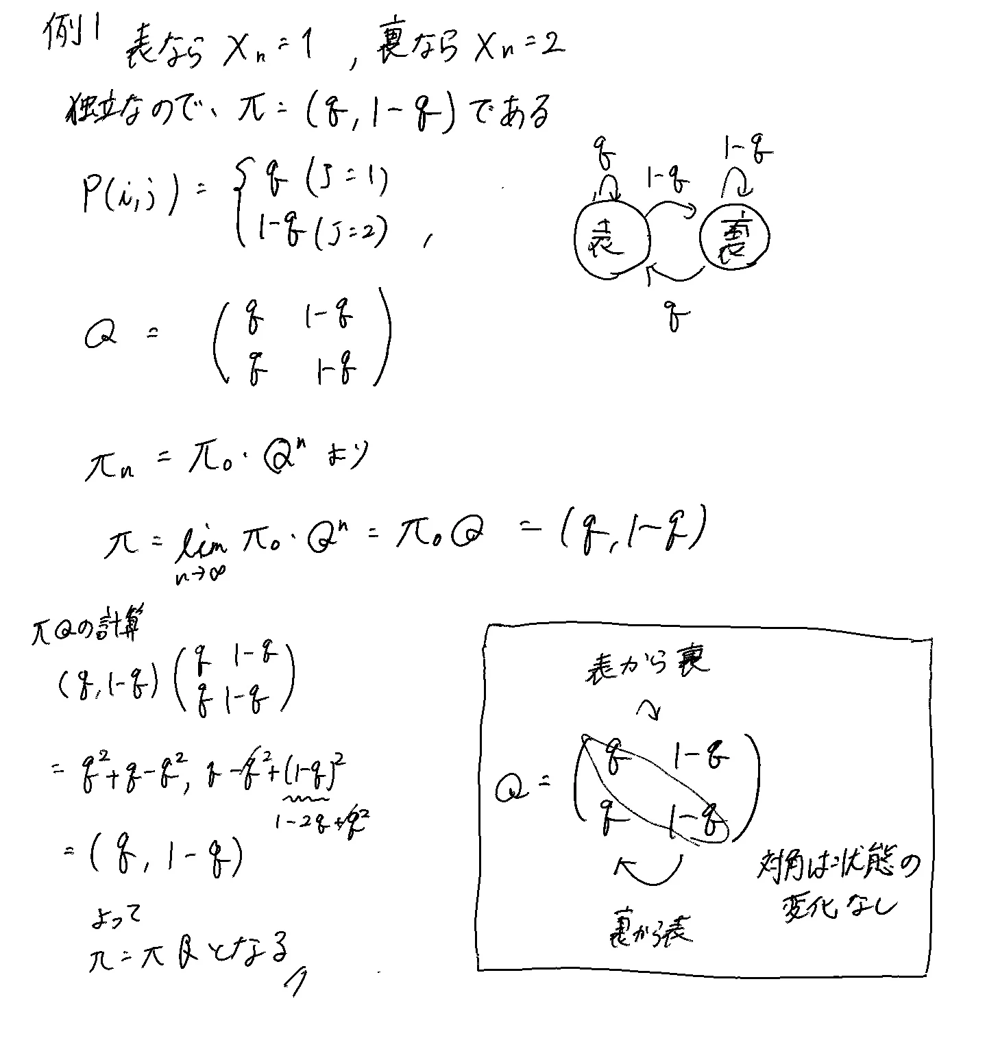
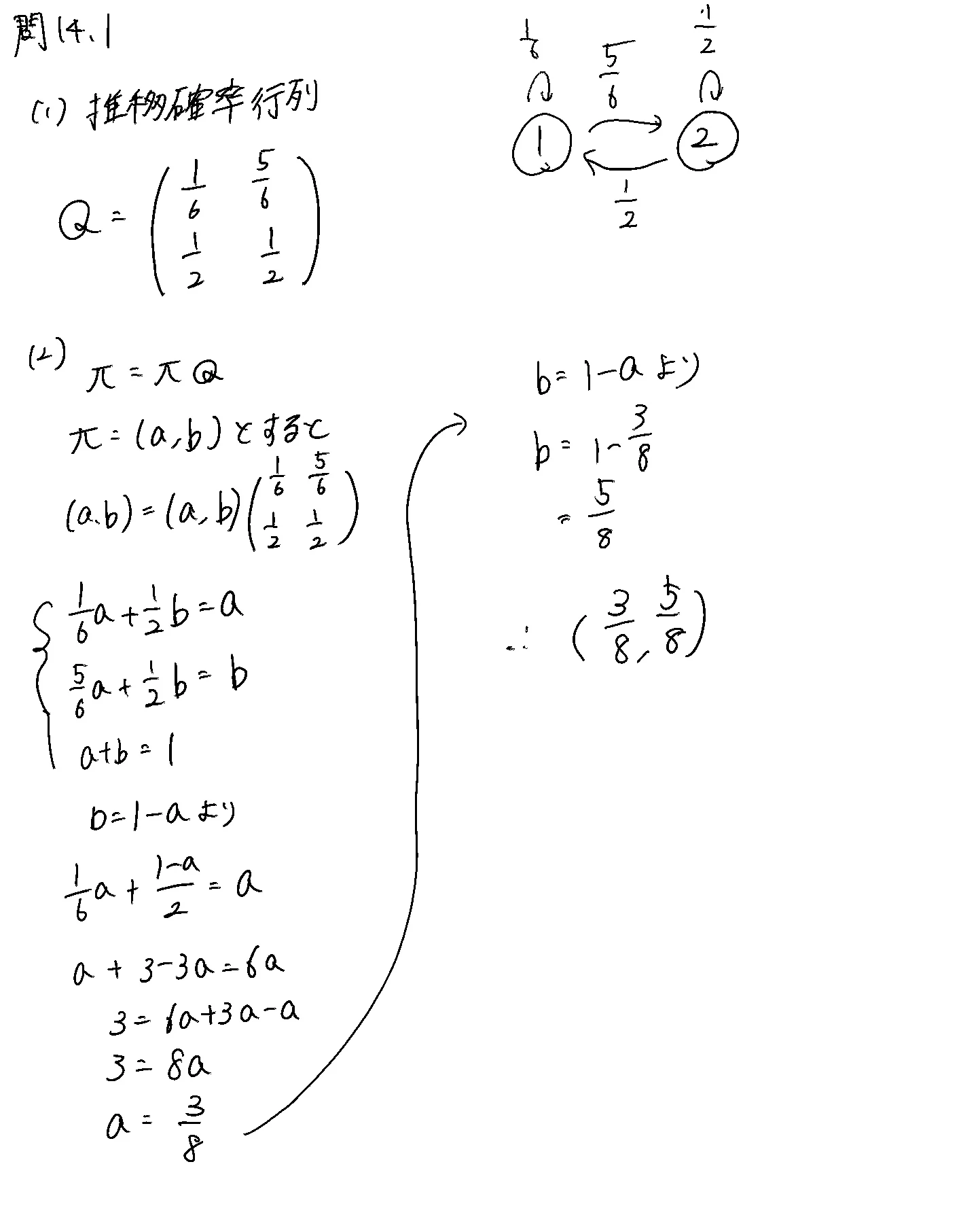
マルコフ連鎖とは、「現在の状態$X_{n}$が与えられれば、それ以外の過去の情報は未来$X_{n+1}$を予測するのに不要である」という考えです。
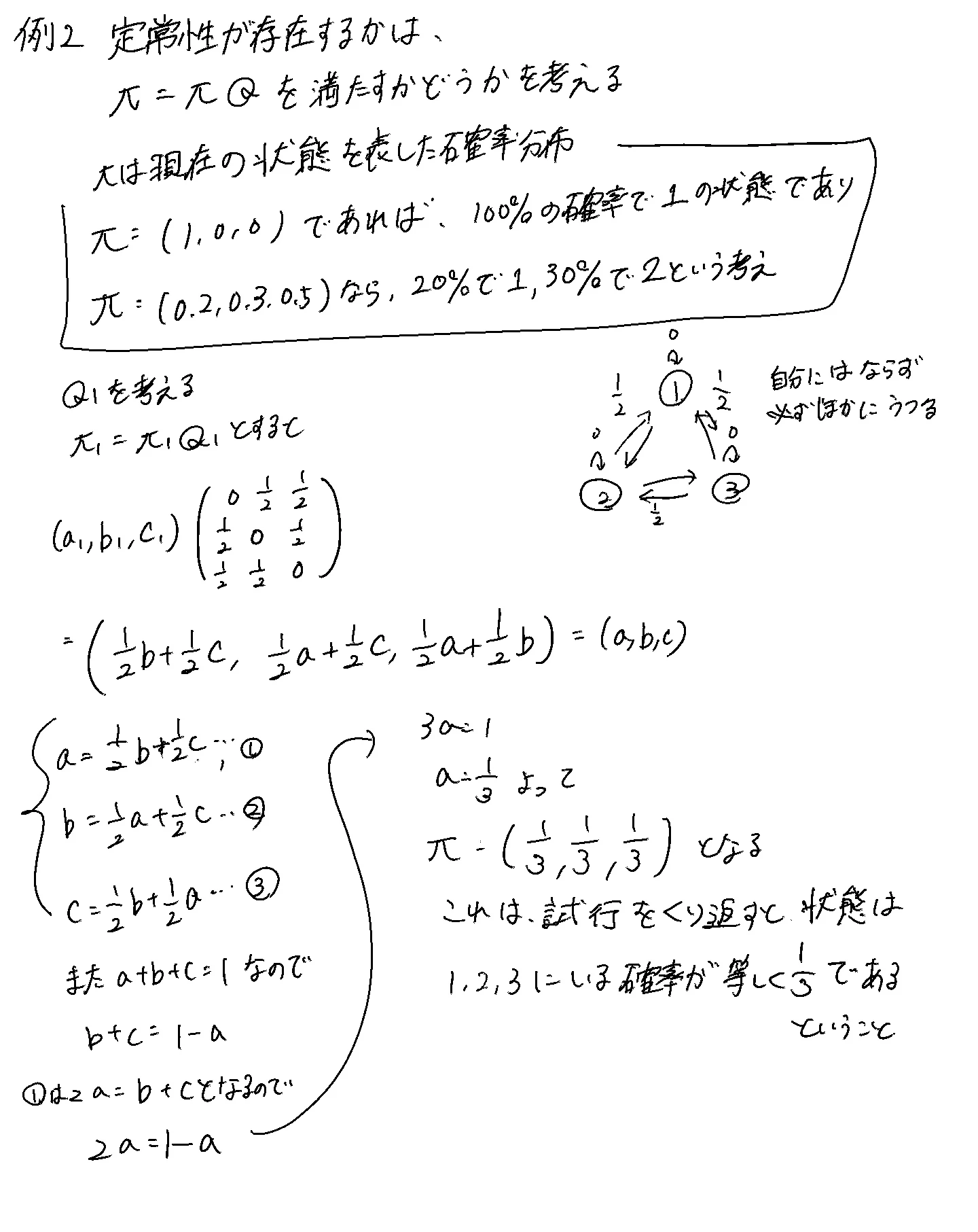
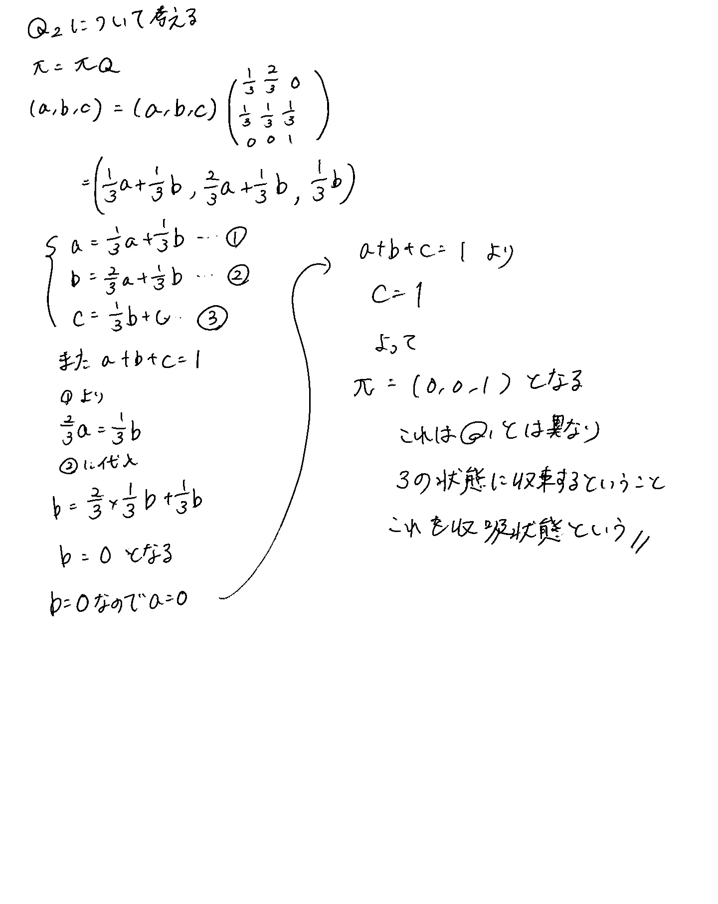
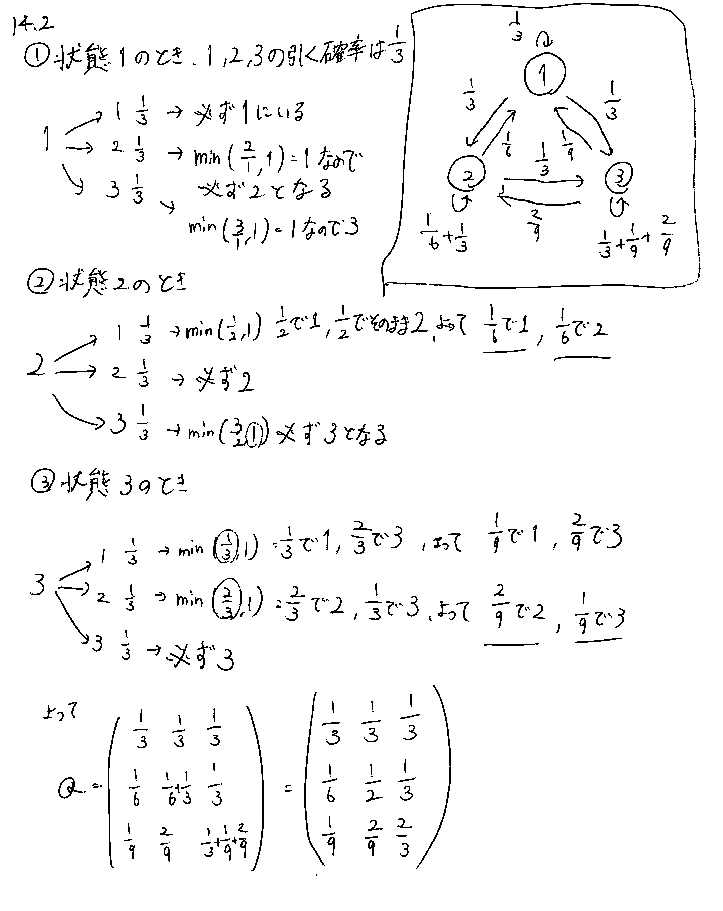
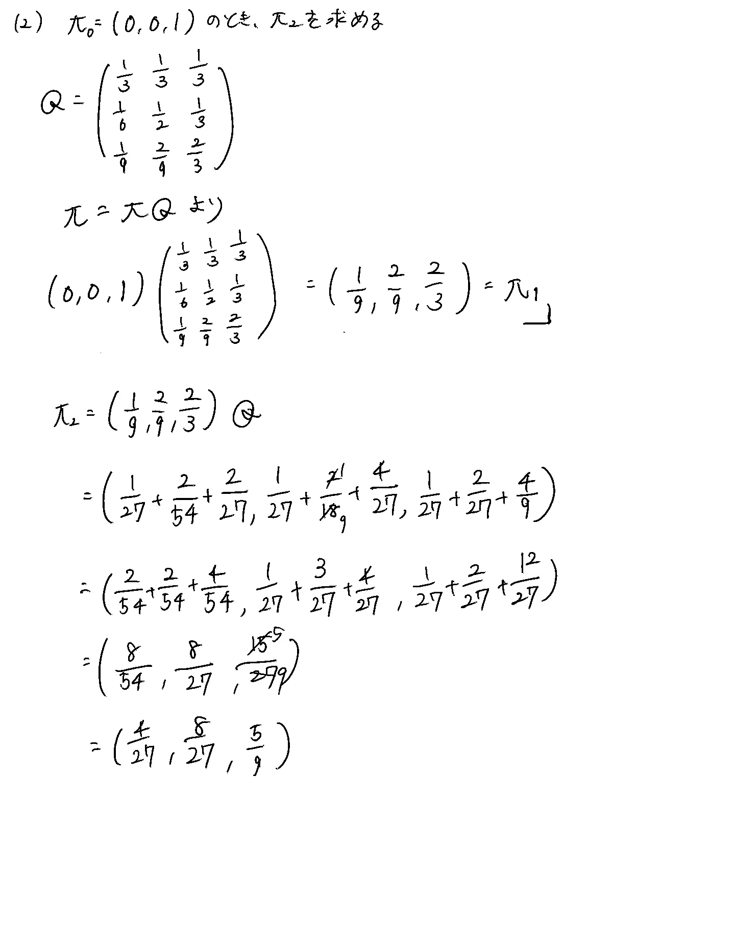
この章の問題は図にすると理解しやすかったです。むしろ各確率を求めるところよりも問題文の理解としての日本語読解の方が相当難しいです。(問14.2が良い例)
「翌日も同じ状態である確率が〜」という文を
$P(X_{n+1}=i | X_n=i)$ と翻訳する必要があります。
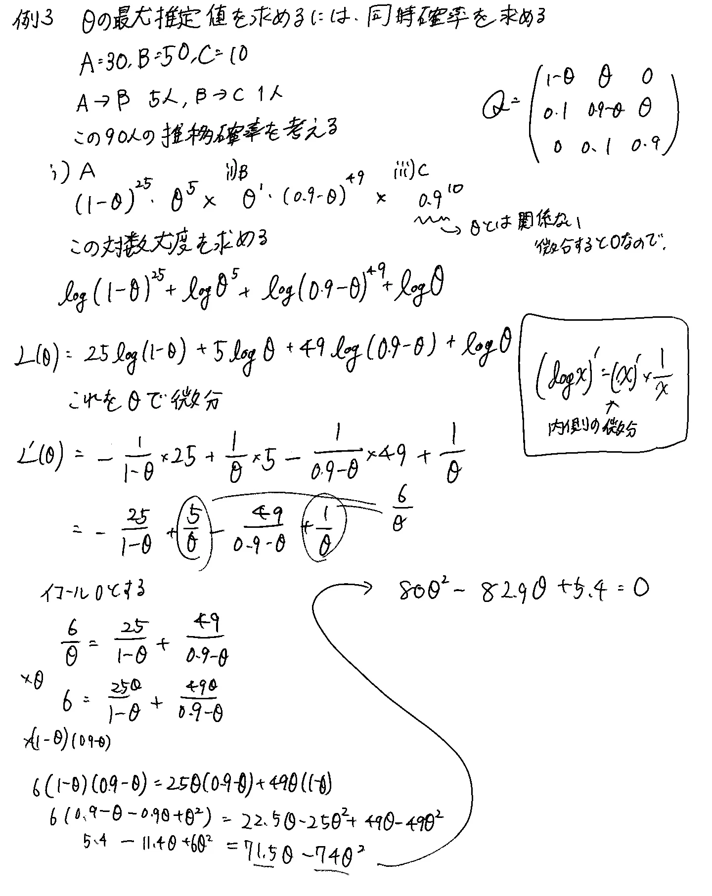
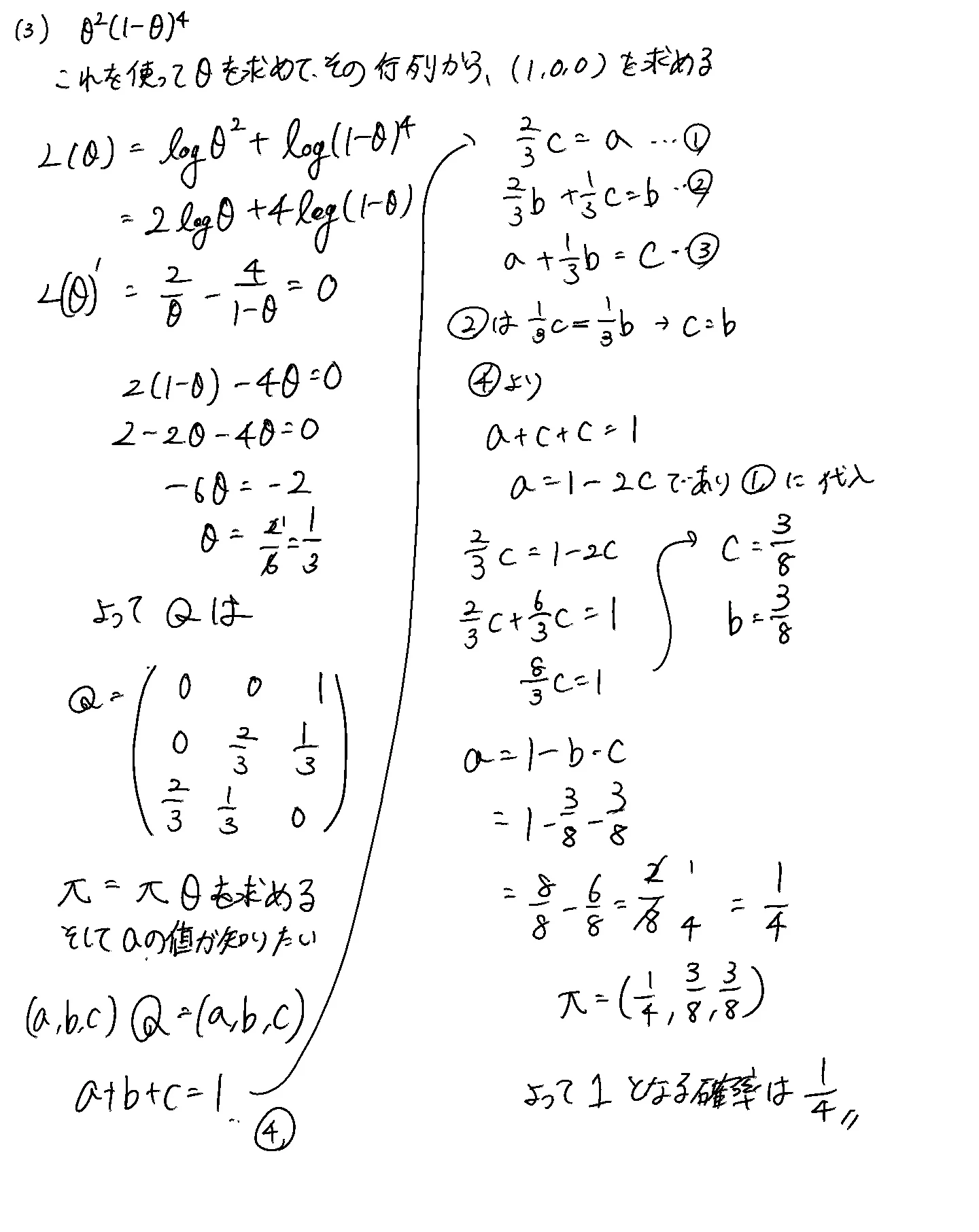
あとは同感する人いるかわからないですが、この章で出てくる最尤推定値を求める計算は理由わからないですがなぜか楽しいです。
実現確率を求める⇒対数尤度を求める⇒微分して0となる値を求めるところ。
学習を継続するコツは「数学してる自分かっこいい!」と思うことかもしれないですね。(笑)
各章のリンク一覧
統計検定準1級 統計学実践ワークブック 解答例【全32章 まとめ】









