統計学実践ワークブック 解答例【第11章】
第11章は正規分布に関する検定ですので、基本的な分布であるカイ二乗分布、t分布、F分布などが理解できていれば問題の無い章かと思います。
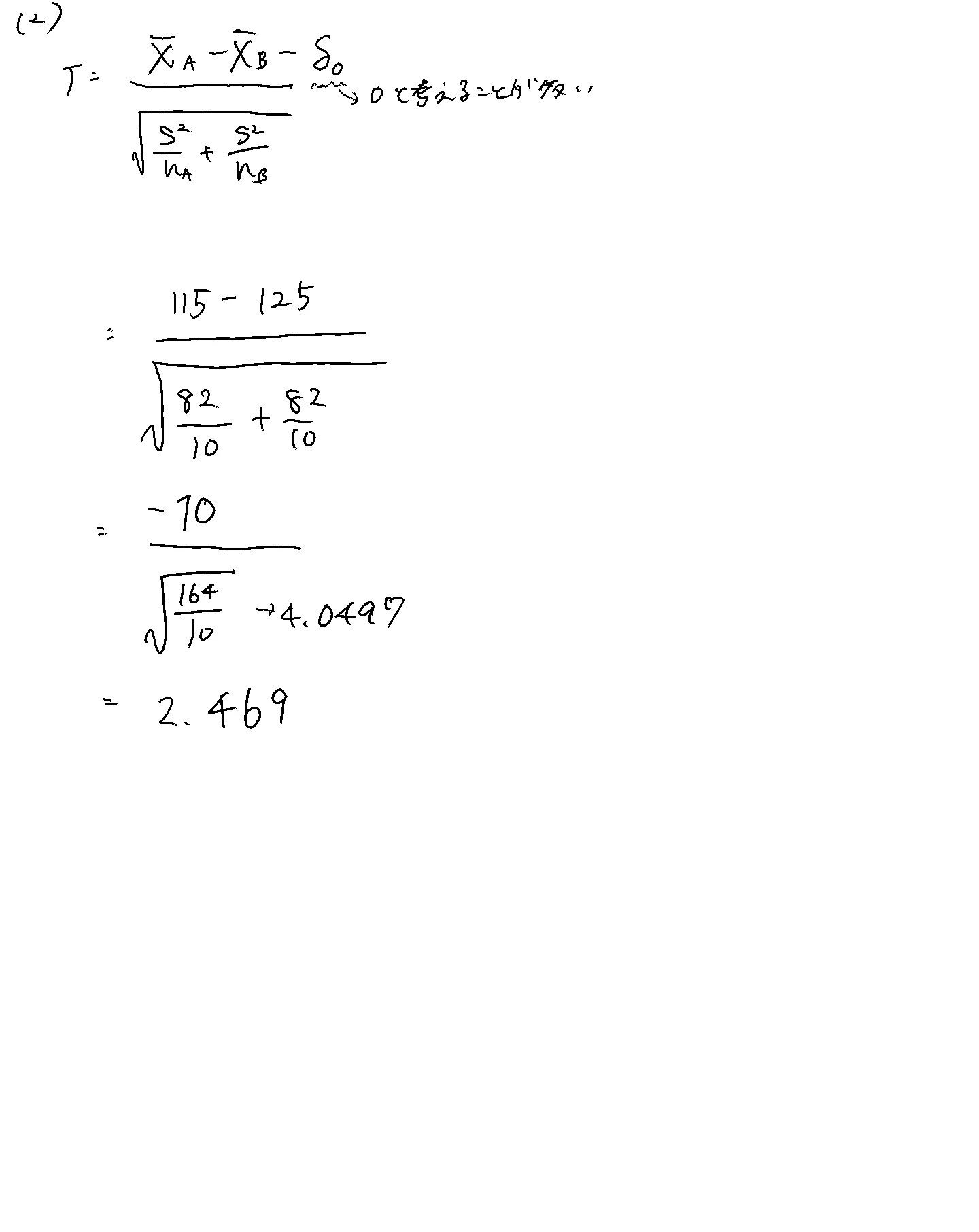
ただし、私はこの章で統計検定2級の頃から苦手な内容がありました。それはプールした分散です。これまで何となく解法だけ理解して読み流していた状態でした。改めて整理すると、使うべき状況としては母分散が等しと仮定できるときです。2群のデータを合わせて分散を計算することで、推定精度が向上(安定)するという利点があります。概念を理解すれば公式もなぜそうなるのか理解できますし覚えやすいですね。
各章のリンク一覧
統計検定準1級 統計学実践ワークブック 解答例【全32章 まとめ】
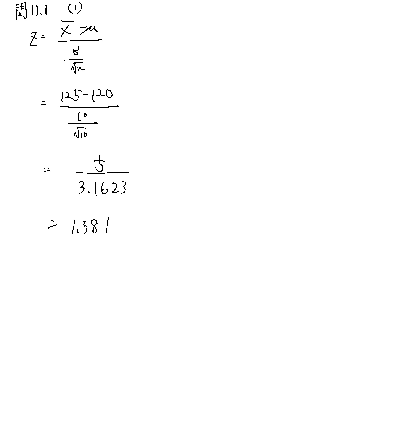
第11章 正規分布に関する検定
プールした標本分散
使い分けとしては、「母分散が等しい」「2群の平均の差を見たい」状況で用いられるものです。問11.2のように「東京と大阪で分散が等しい」という前提であればプールした分散を利用するほうがより精度が良くなります。これは、2群のデータで分散を出すことで実質的にサンプルサイズを増やすことができるからです。





