やり尽くされたようなテーマですが、
高校数学3までの知識があれば理解及び実装が容易のため、投稿させて頂きます。
入力: 非負有理数 m(!=1) & 精度p (P>0)
目標: |ln(m)-A|<p となるような有理数Aを求める。(ln(x)でxの自然対数を表す。)
方法:
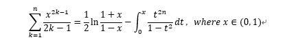
(i)はnに関する帰納法、
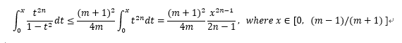
(ii)は0<=t<=x<=(m-1)/(m+1)という不等式を用いればよいです。
(i), (ii)から、

が得られるので、(右辺)<pを満たすnを求めて、左辺の第2項を計算し、それが近似値として使えます。
m<1の場合は、㏑(1/m)の近似値を求めて -㏑(1/m)を出力します。
以下、Pythonコード
Python
import numpy as np
n=0.03 #input
m=n if n>=1 else 1/n
# print(m)
p=0.0001 #input
def error(m,n):
denom=2*m*(2*n+1)*(m+1)**(2*n-1)
return ((m+1)**2)*((m-1)**(2*n-1))/denom
def ap_A(n,m):
s=0
for k in range(1,n+1):
r=((m-1)/(m+1))**(2*k-1)
s+=r/(2*k-1)
#print(s)
return 2*s
def n_finder(m,p):
n=1
while error(m,n)>p:
n+=1
#print(n,error(m,n))
return n
ap=ap_A(n_finder(m,p),m)
if n<1: ap=-ap
print("An approximate value A s.t. |ln(n)-A|<p is ", ap) # output of result
print(abs(np.log(n)-ap)<p) # check

