本記事は数学講座2.14単調有界数列必ず極限を持つを勉強して投稿したメモです。詳細は元の素晴らしい講座のページをチェックしてください。
単調な数列と関数
概念:
単調有界原則
数列が単調、且つ有界であれば、この数列には必ず極限があり、収束します。
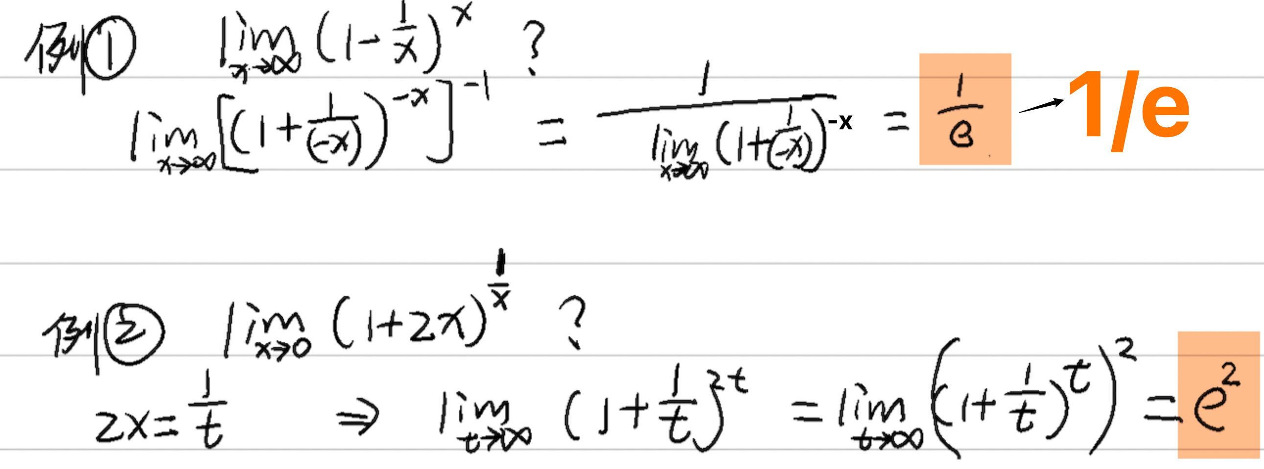
オイラー数 e
定理:
$\displaystyle{a_n}={\left(1+\frac{1}{n}\right)^n}$の極限が存在します、その極限が$e$で表します:
\lim_{n\to\infty}\left(1+\frac{1}{n}\right)^n=e
$e$がオイラー数 (Euler's number)、或は自然対数 (Base of the natural logarithms)、無理数です.
$e=2.718\ 281\ 828\ 459\ 045\cdots$


