トポロジカルソート
実装できたけどワカッテハイナイ
トポロジカルソートとは
閉路がない有向グラフの各有向辺が順方向になるようにソートすること
有向非巡回グラフ(DAG)とは
DAGとは、有向グラフ且つ閉路のないグラフのことである。これは、ある操作の手順を表す時に用いられたりする。DAGはトポロジカルソートをすることができる。
参考サイト
トポロジカルソート
動的計画法によるトポロジカルソートの数え上げとπDDの構築
動的計画法入門
アルゴリズムとデータ構造
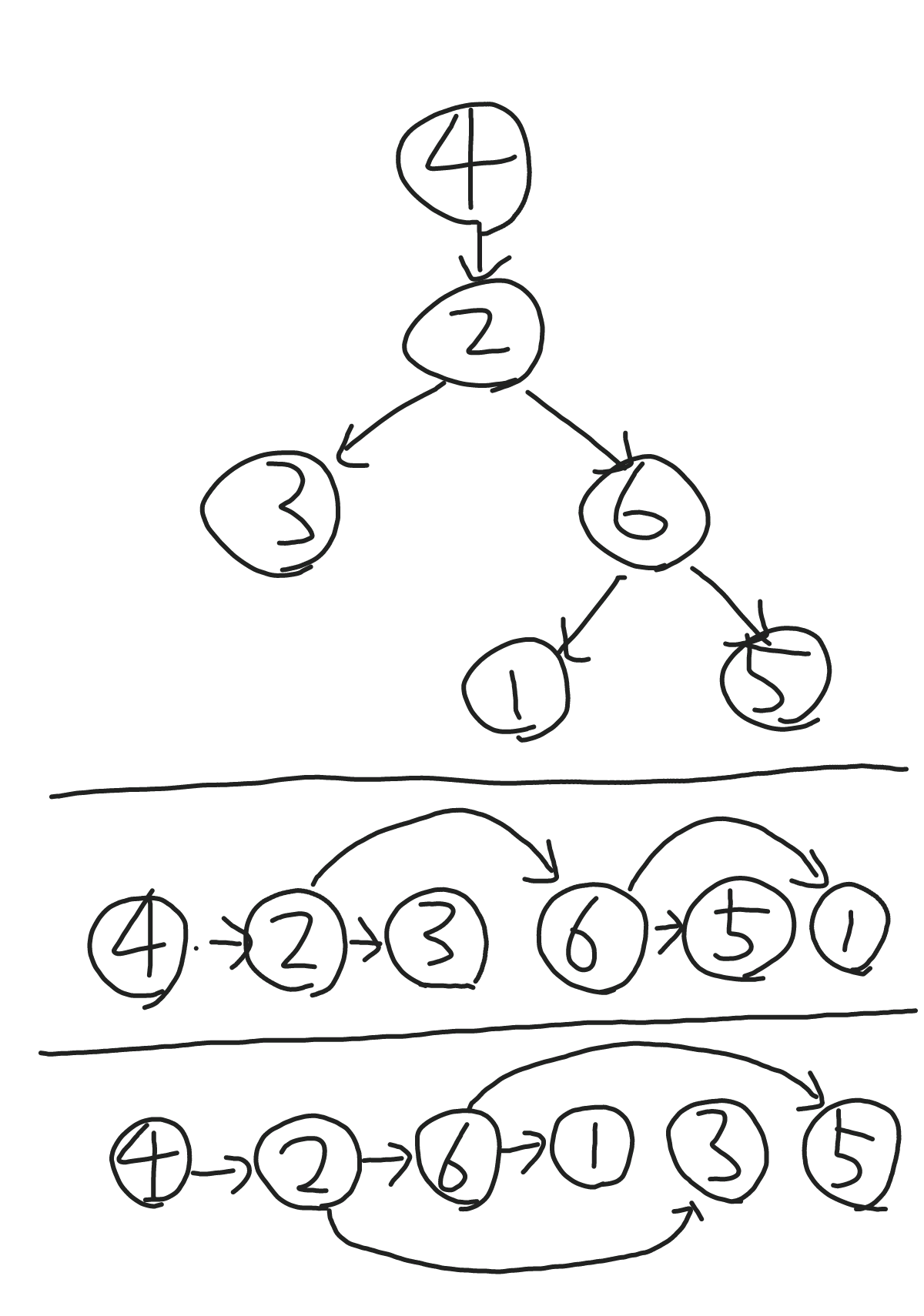
トポロジカルソートとは、下図のような木を順に並べたものらしい
※トポロジカルソートの結果は、複数存在する場合がある(図ではトポロジカルソートの結果として、423651と426135の二つを記載)
- 上図の423615という木を例に、並べる順としては以下のようになる
- どこにも依存していないものが一番左(4)
2. 隣接リストを作成した段階で入次数(いりじすう と読むらしい)が0のものが根 - その次は、(4)のみに依存しているもの(2)
3. (4)をリザルト用のListにaddし、(4)から(2)への辺を削除した結果、(2)の入次数は0になる
4. (4)から(2)への辺を削除とは、「(4)をリザルトリストへaddする際に、(4)から他の頂点へののびている辺を隣接リストから探し、次の接続先の入次数をマイナスする」ことを指している。 - その次は、(2)のみに依存しているもの(3 または 6)
4. (2)をリザルト用のListにaddし、(2)から(3)および(6)への辺を削除した結果、(3)および(6)の入次数は0になる - その次は、(3) または (6)のみに依存しているもの([3]で(3)を選択しているなら(6)、[3]で(6)を選択しているなら、(2)のみに依存している(3)((6)と同列のもの)または(6)のみに依存している(1)または(5))
- 以下、全ての依存関係を確認していく
- どこにも依存していないものが一番左(4)
BFSで実装してみる
※実装したら下記のAOJのサイトで確認することができる
GRL_4_B | トポロジカルソート | グラフ | Aizu Online Judge
private void solveA2() {
int v = nextInt();
int e = nextInt();
/*
*隣接リストの作成
*/
List<List<Integer>> adj = new ArrayList<List<Integer>>();
for (int i = 0; i < v; i++) {
adj.add(new ArrayList<Integer>());
}
for (int i = 0; i < e; i++) {
int from = nextInt();
int to = nextInt();
adj.get(from).add(to);
}
// 入次数が0のものを判定するための配列
int indegree[] = new int[v];
// 入次数0を判定
for (int i = 0; i < v; i++) {
List<Integer> temp = adj.get(i);
//iをfromとするnode達
for (int node : temp) {
//入次数の個数
indegree[node]++;
}
}
/*
* queueの作成
* 入次数0のものをqueueに詰める
* 入次数0から調査していく
*/
ArrayDeque<Integer> q = new ArrayDeque<Integer>();
for (int i = 0; i < v; i++) {
if (indegree[i] == 0) {
q.addLast(i);
}
}
//訪問済み頂点数
int cnt = 0;
// トポロジカルソートの結果
List<Integer> res = new ArrayList<Integer>();
/*
* BFS
*/
while (!q.isEmpty()) {
// 接続先の頂点を探索開始
int u = q.removeFirst();
//入次数0なのでリザルトにadd
res.add(u);
/*
* この頂点の次の接続先の入次数を-する
* その結果、入次数=0となる場合はソートリザルトに追加し、次の探索に利用する
*/
for (int node : adj.get(u)) {
indegree[node]--;
if (indegree[node] == 0) {
q.addFirst(node);
}
}
cnt++;
if (cnt > v) {
System.out.println("graph内に循環有");
return;
}
}
for (int i : res) {
out.println(i);
}
}
AtCoderの問題を解いてみる
D - Restore the Tree
トポロジカルソートを使う問題ということでチャレンジしてみる
結論としては、トポロジカルソートのロジックをほぼ改変なしで解けた
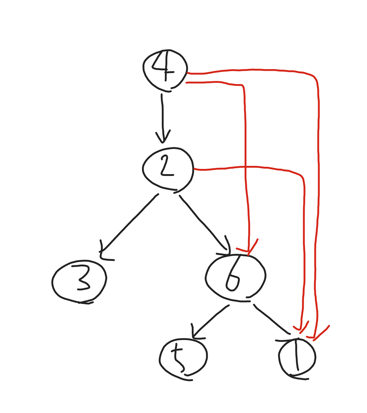
- 入力例 2 の構造は上記
- 黒い辺が本来の木構造で、赤い辺はあとから足された辺
- 元の木構造は「根以外の各頂点には、その親から一本の有向辺が伸びています」との記述があるので特定できる
- トポロジカルソートで並べるときに、自分の入次数が0になる時(自分に向かっている辺を削除した時)の頂点が親(うまい言い回しがわからない。。。)
- 例えば、隣接リストを作成した時の(1)の入次数は3
- (1)への辺があるのは(4)(2)(6)だが、トポロジカルソートしていくと、
- (4)(2)(6)の順で(1)への辺を削除していく
- (6)→(1)の辺を削除した時に(1)への入次数は0になる
- (1)への入次数が0になった時の(6)が自分の親となる(複数の親がいるときは、根から一番遠い親が元の木構造の時の親)
- 例えば、隣接リストを作成した時の(1)の入次数は3
AtCoder:全国統一プログラミング王決定戦予選(D - Restore the Tree)
private void solveA() {
int v = nextInt();
int e = nextInt();
List<List<Integer>> rinsetuList = new ArrayList<List<Integer>>();
for (int i = 0; i < v; i++) {
rinsetuList.add(new ArrayList<Integer>());
}
int[] indegrees = new int[v];
for (int i = 0; i < v - 1 + e; i++) {
int from = nextInt() - 1;
int to = nextInt() - 1;
rinsetuList.get(from).add(to);
indegrees[to]++;
}
ArrayDeque<Integer> queue = new ArrayDeque<Integer>();
for (int i = 0; i < indegrees.length; i++) {
if (indegrees[i] == 0) {
queue.addLast(i);
}
}
int[] par = new int[v];
int cnt = 0;
while (queue.size() != 0) {
int index = queue.removeLast();
for (Integer nextDegree : rinsetuList.get(index)) {
int nextCnt = --indegrees[nextDegree];
if (nextCnt == 0) {
queue.addLast(nextDegree);
par[nextDegree] = index + 1;
}
}
if (cnt > v) {
out.println("graph内に循環有");
return;
}
}
for (int i : par) {
out.println(i);
}
}

