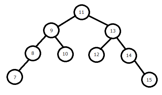
探索対象の二分木
探索のロジック
二分木は数値が小さいものが左のノードとして格納され、数値が大きいものが右のノードとして格納されます。このロジックを元で探索のプログラムを組みます。
探索のイメージ
コード
search.c
# include <stdio.h>
# include <stdlib.h>
//declaration of node for tree
struct tree{
struct tree *left;
struct tree *right;
int data;
};
//function declaration
void inorder(struct tree *);
void insert(struct tree **, int);
void search(struct tree *, int, int *);
void main(){
//declare pointer to tree
struct tree *bt;
//declare variable for inserting value to tree
int i=0, a[]={11,9,13,8,10,12,14,15,7};
//declare variable for finding number in tree
int found = 0;
//set pointer to empty tree
bt = NULL;
//insert value to tree
while(i<=8){
insert(&bt,a[i]);
i++;
}
//show nodes in tree in inorder traversal
printf("Binary tree in inorder traversal:\n");
inorder(bt);
//search the tree for number 8 (change the value 8 for another number if needed)
search(bt,8,&found);
printf("Search result: ");
//check if number is found
if(found){

printf("Value is found\n");
}else{
printf("Value is not found\n");
}
}
//function for searching number in tree
void search(struct tree *q, int num, int *found){
//if tree is empty, print messsage and return to main
if(q == NULL){
printf("Tree is empty. Nothing to search.\n");
return;
}
//loop through tree
while(q!=NULL){
//if value is found, set found variable
if(q->data == num){
*found = 1;
//return to main
return;
}
//if the number is smaller than value of current node
if(q->data > num){
//go to left child
q = q->left;
}else if(q->data < num){ //if number is bigger than value of current node
//go to right child
q = q->right;
}
}
}
//function for inserting node to tree
void insert(struct tree **q, int num){
//if node is not created
if(*q == NULL){
//create new node
*q = malloc(sizeof(struct tree));
//set left child to null
(*q)->left = NULL;
//set right child to null
(*q)->right = NULL;
//set value of node
(*q)->data = num;
return;
}else{
//if given value is smaller than current node
if((*q)->data >= num){
//insert as left child
insert(&((*q)->left), num);
}else{ //if given value is bigger than current node
//insert as right child
insert(&((*q)->right), num);
}
}
return;
}
//function to display tree in inorder traversal
void inorder(struct tree *q){
//if node is not empty
if(q!=NULL){
//go to left child
inorder(q->left);
//print value of node
printf("%d\n",q->data);
//go to right child
inorder(q->right);
}
return;
}



