前提
LeetCodeでは、以下のようなバイナリツリー(Binary Tree)を利用した問題が出題されることがあります。
#[derive(Debug, PartialEq, Eq)]
pub struct TreeNode {
pub val: i32,
pub left: Option<Rc<RefCell<TreeNode>>>,
pub right: Option<Rc<RefCell<TreeNode>>>,
}
impl TreeNode {
#[inline]
pub fn new(val: i32) -> Self {
TreeNode {
val,
left: None,
right: None,
}
}
}
Vecからバイナリツリーを生成する
テストデータとして、Vecからこのバイナリツリーを作成するには、以下のような関数を用意します。なお、ここでは-1をnullとして扱っています。
fn to_tree(vals: Vec<i32>) -> Option<Rc<RefCell<TreeNode>>> {
fn build_tree(vals: &Vec<i32>, index: usize) -> Option<Rc<RefCell<TreeNode>>> {
if vals.len() <= index || vals[index] == -1 {
return None;
}
let node = Rc::new(RefCell::new(TreeNode {
val: vals[index],
left: build_tree(vals, 2 * index + 1),
right: build_tree(vals, 2 * index + 2),
}));
Some(node)
}
build_tree(&vals, 0)
}
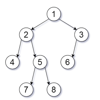
例えば、以下のようなバイナリツリーを生成したい場合、次のようにto_tree関数を使います。
let vals = vec![1, 2, 3, 4, 5, 6, -1, -1, -1, 7, 8];
let root = to_tree(vals);
バイナリツリーをVecに変換する
上記とは逆に、バイナリツリーをVecに変換するには、以下のような関数を用意します。ここでも-1をnullとして扱います。
fn to_vec(root: Option<Rc<RefCell<TreeNode>>>) -> Vec<i32> {
let mut stack = vec![(0, root.unwrap().clone())];
let mut vals = Vec::new();
while let Some((index, parent)) = stack.pop() {
while vals.len() <= index {
vals.push(-1);
}
vals[index] = parent.borrow().val;
if let Some(left) = &parent.borrow().left {
stack.push((index * 2 + 1, left.clone()));
}
if let Some(right) = &parent.borrow().right {
stack.push((index * 2 + 2, right.clone()));
}
}
vals
}
使用例は以下の通りです。
let root = ...;
let vals = to_vec(root);
println!("{:?}", vals); //=> [1, 2, 3, 4, 5, 6, -1, -1, -1, 7, 8]
環境情報
- rustc 1.84.1 (e71f9a9a9 2025-01-27)
