これは何?
佐武一郎先生の『線型代数学』という良書があります.基礎からテンソルまで,また,群論的な内容やLie代数的な位相につながるフレーバーも散りばめられた,初学者には難し目の本だと思います.
私は「からすま数理」というグループの毎週日曜朝の輪読会でコツコツ読み進めています.内容を図や表で説明することが好きなので,自分の手書きメモを公開します.内容的に説明が少なく,メモのみで分かるのは難しいと思いますが,せっかく書き溜めているので公開します.
この本を勉強している方の何かの参考になると嬉しいです.からすま数理,線形代数チャネルの Gaku Takaragi さんと sy_eng さんに感謝します.
第II章 行列式
p.81-82 偏微分の Jacobian
p.82-83 巡回行列
離散フーリエ展開と同じ式が現れます.
巡回行列の線形結合として表現できます.
第III章 ベクトル空間
p.94 基底の数の一意性
別証を行列表示
p.97 系 Gram の行列式
p.112 定理9 次元定理

いわゆる「次元定理」とか「線型代数学の基本定理」といわれています.Strang 先生の本を元に解説した記事もあります.
第IV章 行列の標準化
p.144 例3 冪零行列から基底を作る
p.145 問4 最小多項式とブロック行列
$\phi_A$は$A$の最小多項式です.$A$が$A_1, A_2$に対角ブロック分解されたときに, $\phi_A$ は, $\phi_{A_1}$と$\phi_{A_2}$ の最小公倍式であることを示します.
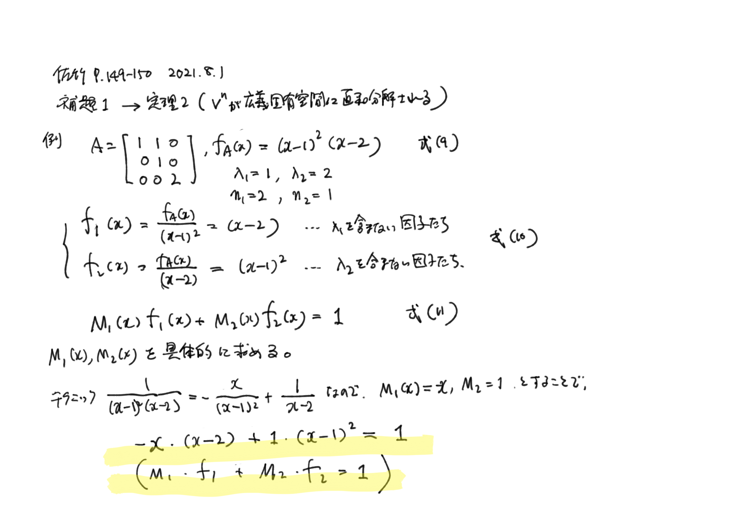
p.147-152 例4 固有多項式/最小多項式と,固有値の重解の関係
p.150 補題1-定理2 固有多項式・最小多項式,中国剰余定理
いわゆる中国剰余定理およびベズーの定理(互いに素な多項式は,線型結合を使って「1」を作ることができる)を使って,広義の固有空間(A-不変な部分空間)にVをに分割できることを,射影子の存在を持って示しています.
和に分解された多項式は,それぞれの広義固有空間への「射影子」となります(射影子と広義の固有空間は,双対関係にあります).射影子を使って広義固有空間への分割を言うという論法です.
Steven Roman 先生は,「Resolution of Identity」と言う言葉で "単位行列を独立した射影の和に分解する(Vを充満する直和)" という性質としています.
P_1+P_2 + \ldots +P_n = I \quad \text{(resolution of identity=充満条件)}\\
P_i P_j = 0 \quad (i \ne j) \quad \text{(直和条件)}\\
P_i^2=P_i \quad \text{(for all i)} \quad \text{(射影:上記2つから従う)}
p.151 冪零行列のブロック三角化(広義固有空間の不変ブロック)
p.152 例1 任意のn次正方行列Aは,可換な準単純Sと冪零Nの和 - A=S+N
ここでは,「相似関係による同値類」と「交換可能性による同値類」の2軸で行列を分類できることを示している.
さらに, $A=S+N$ という分解が一意にできる(S: 準単純=対角化可能, N: 冪零)
p.154 問1 射影と広義固有空間
実際の行列 $A$ を例にして,固有方程式から広義固有空間への射影行列を求めています.また,その射影行列を使って $A=S+N$ と和の Jordan 分解をしています.
p.157,8 Jordan 分解の実例
上の行列 $A$ を例にして,冪零行列 $N=A-S$ の構造を見ています.
p.157 問4
p.157 Jordan 標準形(和の表示と積の表示)
additive(和形式) と multiplicative(積形式) の両方で Jordan 標準形を表現.
どちらも, A を S(準単純=対角化可能)部分と N(冪零)部分に分解.SもNもAの多項式で表現でき,積可換である.
冪零部分(N) が分解の形を決める.
p.157 Jordan 標準形(広義の固有空間の分解イメージと例)
p.164 エルミートと歪エルミート
p.169 正値対称行列の転置による積分解と2次形式(Sylvesterの慣性法則)
p.176 数(実数/虚数/複素数)と正則行列(特に正規行列)の類似対応
p.177 正方行列の分類と固有値
p.180 問10 実数行列の固有値の個数(Sylvester標準形)
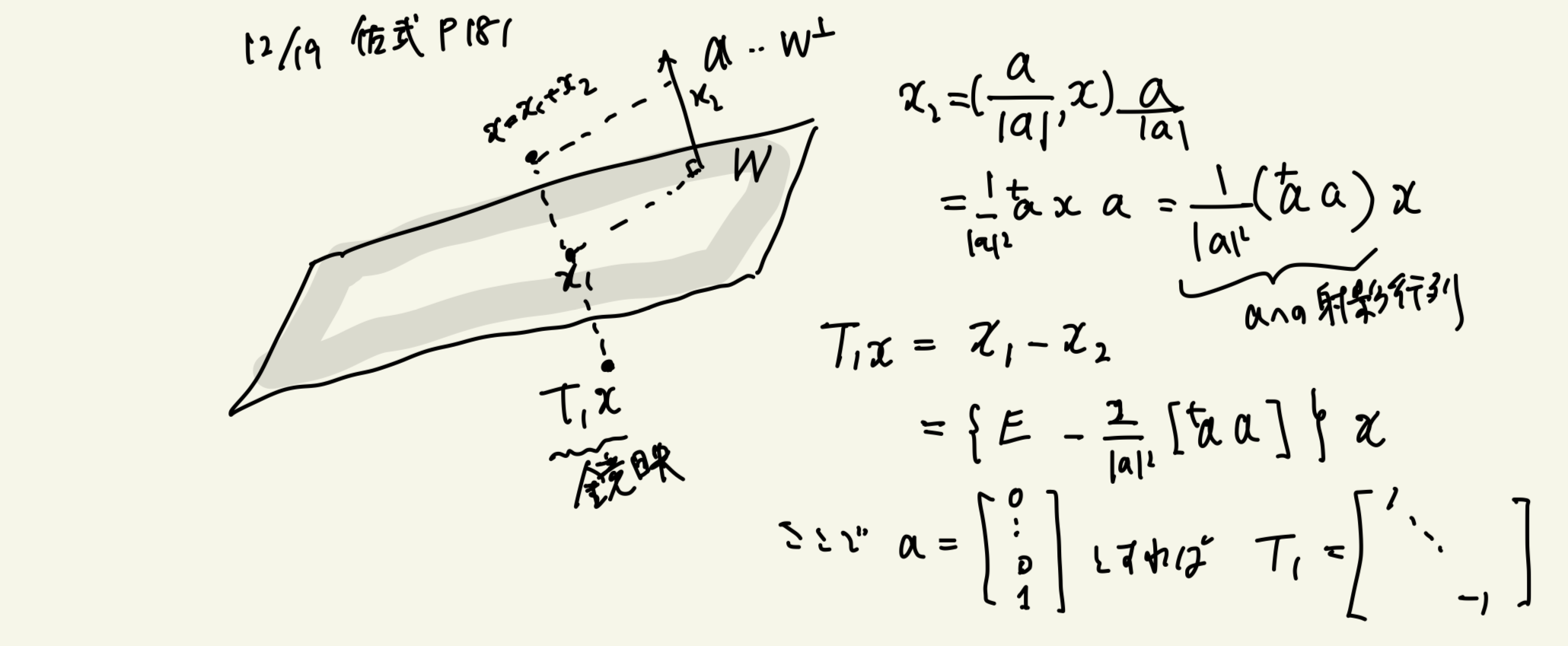
p.181 鏡映写像
p.183 例 Cayley 変換
p.186 O(n)/SO(n),GL(n,R)/O(n) の傍系分解と対称群
p.191 研究課題1(実数体以外の2次形式)
p.197 直交群のLie環
第V章 テンソル代数
p.202 双対空間
p.202-203 双対空間と双対性を表す内積
p.202 双対空間,例示
p.203 双対空間,再度簡略可視化と例1
p.204 双対空間における直交空間
W^\perp = \{ f \in V^* ; <f,x> = 0 \quad \text{for all x} \in W \}
ここでの, $W^\perp$ は双対空間に存在します.Steven Roman 先生が annihilator と呼んでいるもの ($W^0$ と書く) を指していると思います.
p.205 剰余類空間(商空間)
何度出てきても混乱する概念.整数の剰余との類似で覚えている.
商空間は「補空間の元が集合になる」というのが混乱する元なんだと思う.しかも,法となる部分空間に対して,その補空間を1つ決めるとその補空間の元が代表元になるのだが,補空間の取り方に自由度がある.図で言うと,z軸にとってもよいし,法線方向にとってもよい.
注意点として,
- 各同値類自体は,$V$の部分空間ではない!(最初の$W$のみが原点を含む部分空間)
- しかし,各同値類は商空間 $V/W$の元である.
- 商空間の元は「ベクトルの集合(同値類)」である
- 商空間はベクトル空間である.
最近,Steven Roman 先生の動画を見ていて,部分空間S(Subspace)に対して,各剰余類の代表元をすべて含むSの補空間TをTransversal と呼び,$V=S+T$ と直和分解することができる.
これを基礎に Vを格子に区切ると,群論のラグランジュの定理(Vの位数=Sの標数*Sの位数)の類似(もしくはそのもの)となっていることに気づきました.
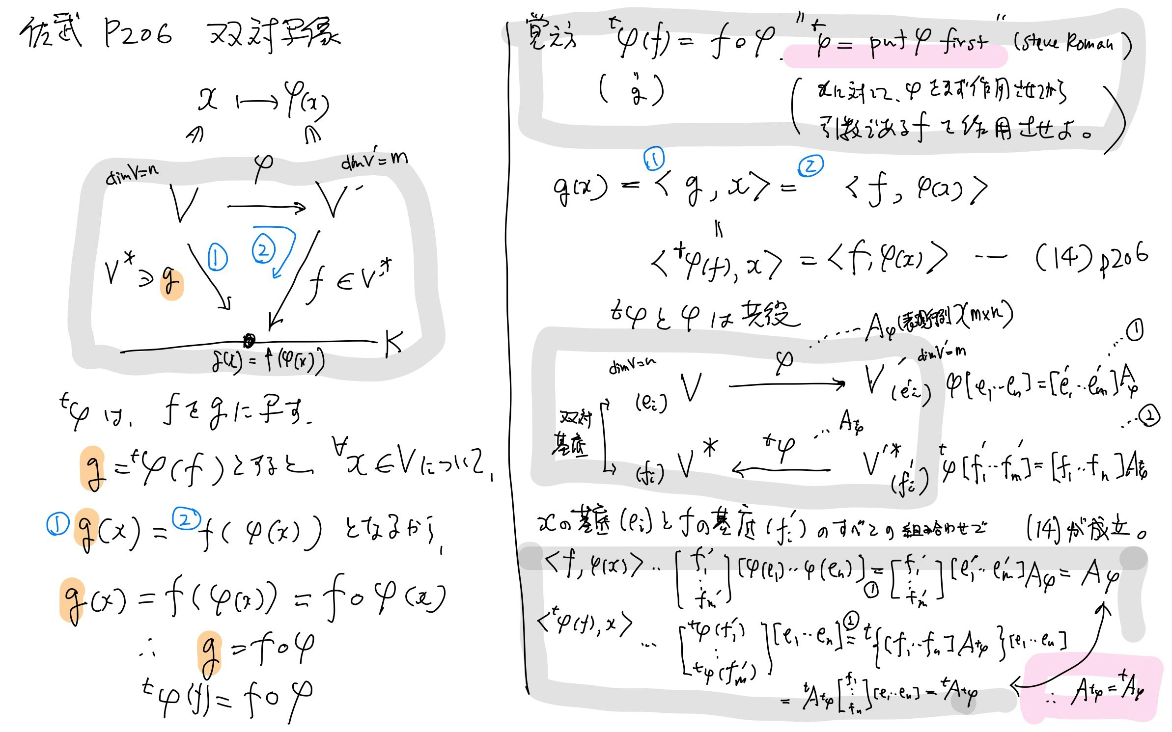
p.206 双対写像
ここは本当に難しい,,, Steven Roman 先生の動画を補助的に見ている. $^t\phi$ を "put $\phi$ first" と読み下して,引数である線形形式$f$に対して,$\phi$を掛けてから$f$を掛ける写像" という風に$f$を変換する,としている(直感的で覚えやすい).
p.207 双一次形式
$B(x, y)$ の定義です. $x, y$ の両方について線形になる(一方を止めると一次函数).
p.207-208 双一次形式
ここは特に苦労しました.
2つの $B$ が出てきて,一方は双一次形式であり,他方は $V'$ から $V^*$ への写像である.
それぞれの「行列」は,
- 前者: $B(e_i, e_j')$ を $(i,j)$要素に持つ「$B$の行列」
- 後者: $e_i', f_i$($e_i$ の双対基底)を底とする変換$B: V' \rightarrow V^*$の表現行列
で,それらが等しいと言っている.
p.212 一次写像の空間
ずっと,双対空間,双一次形式,と進んで,ついにテンソルが定義された.
うまく定義でき,その定義が一意である(カノニカルである)ことまで来た.
次に,一次写像全体 $V \rightarrow V'$ のなす空間 $\mathscr{L}(V,V') $ を $f\in{V^*}$ と $x' \in{V'}$ についてパラメータ化して, その元を $\phi_{x',f}: x \mapsto <f,x>x'$ としている.そして,これがテンソル積であると.
p.213 例1 行列のテンソル積
ずっと難しい状態が続いています.用語と繋がりだけ整理.
- $V \rightarrow V'$ のなす空間 $\mathscr{L}(V,V') $
- $W \rightarrow W'$ のなす空間 $\mathscr{L}(W,W') $
から,
- $\mathscr{L}(V,V') \otimes \mathscr{L}(W,W') $
を考え,普遍性から示しています.
- $\mathscr{L}(V,V') \otimes \mathscr{L}(W,W') = \mathscr{L}(V \otimes W,
V' \otimes W')$
これを使って, 行列のテンソル積,$A \otimes B$ を定義します.
p.214 問3 テンソル積の行列式の値
数式を追うのが辛いので,具体で攻めてみた.なるほどなるほど.
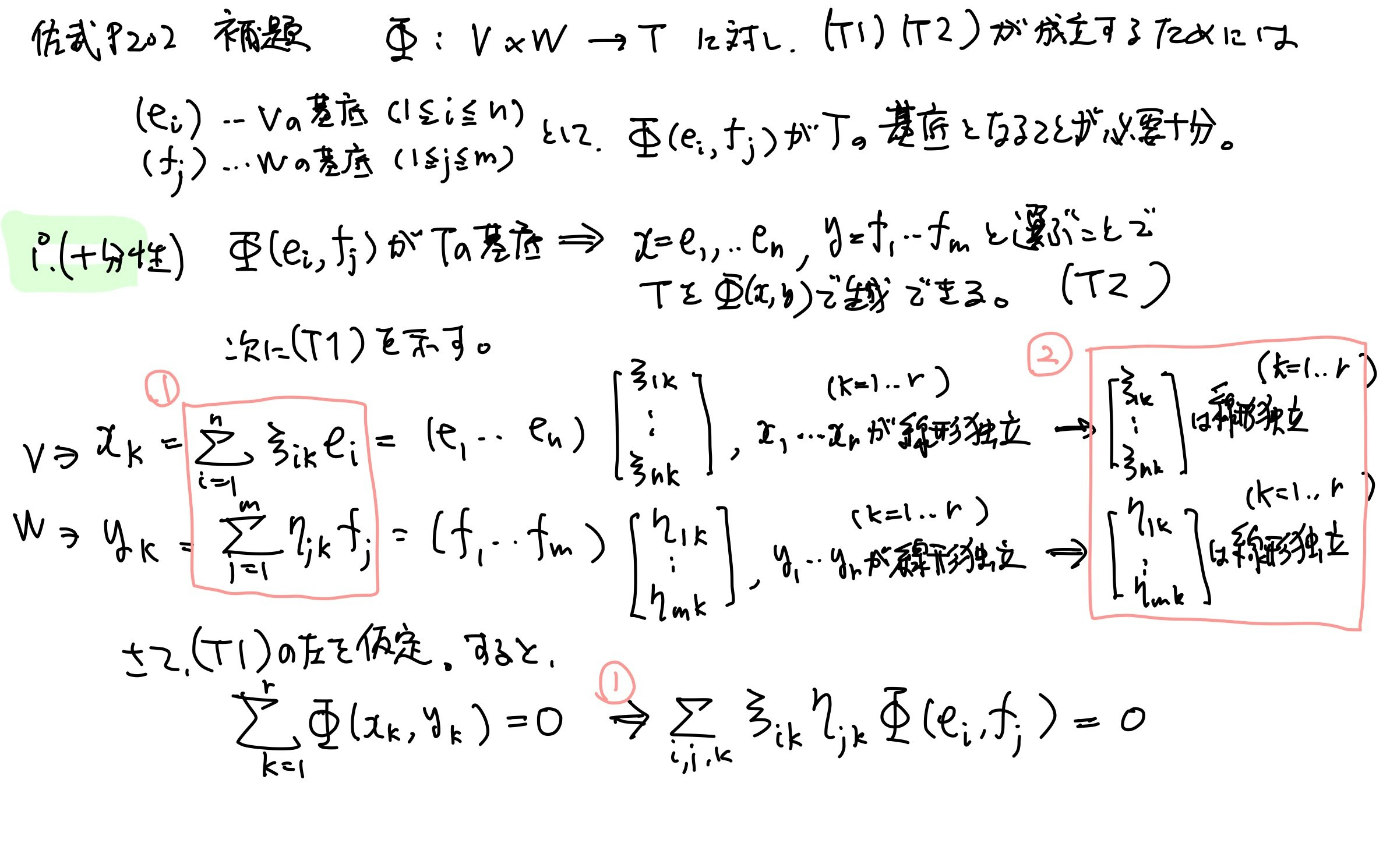
p.202 テンソルの定義
テンソルの途中で迷子になってしまったので,再度,テンソルの定義に戻る.
まず,これが定義. 写像 $\Phi(x,y)$ はこの後で $x \otimes y$ と正式に認識される過程を踏む.

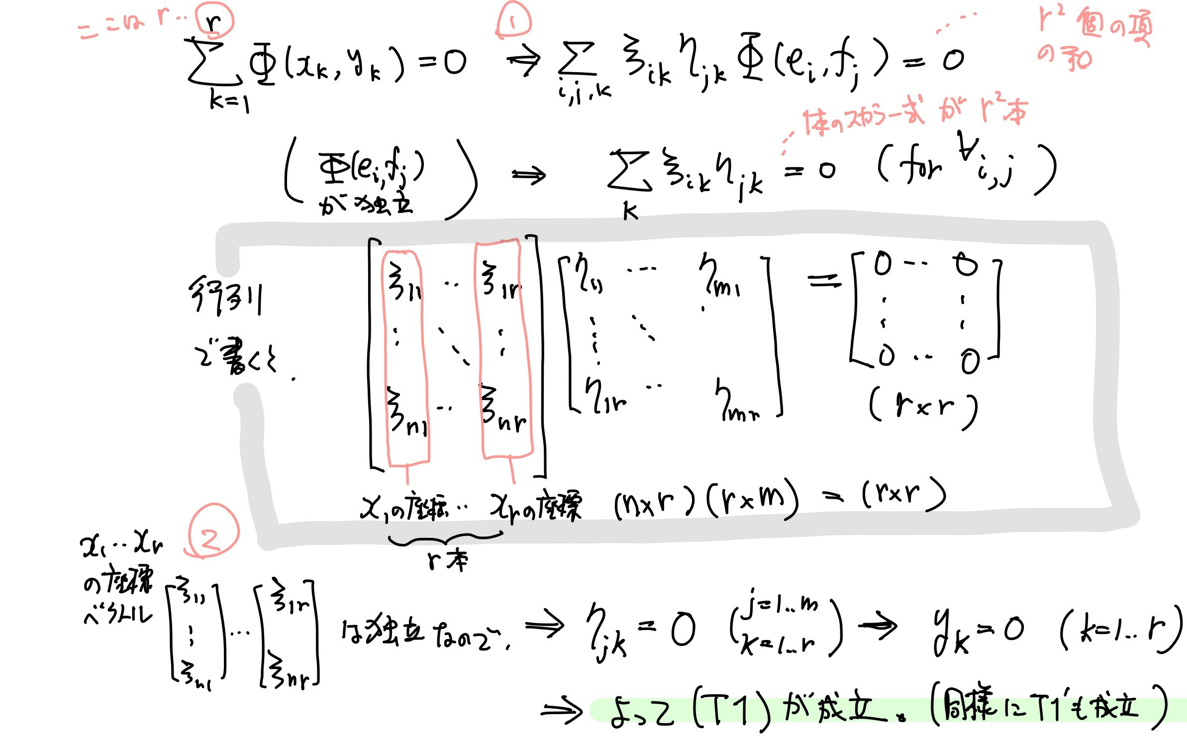
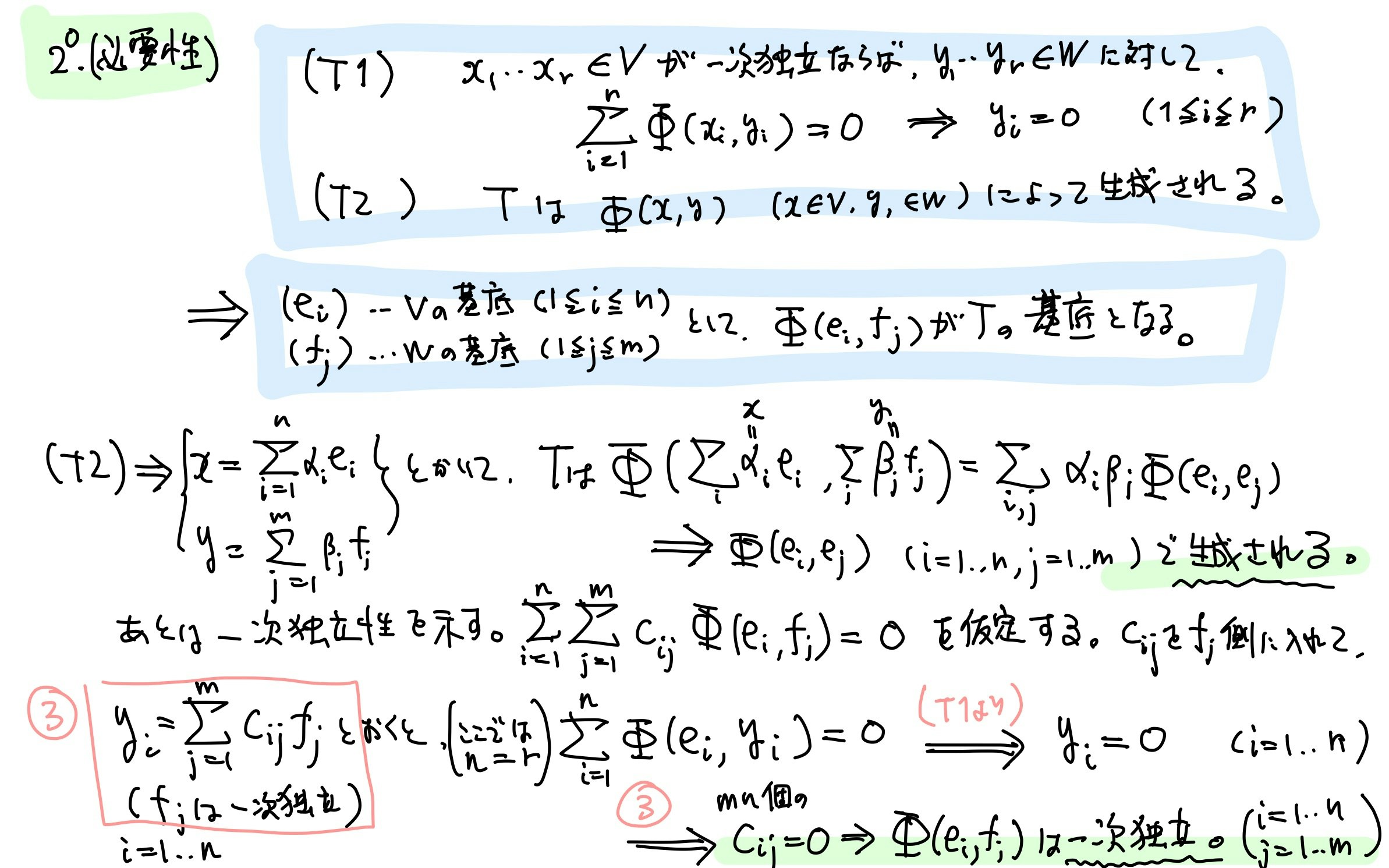
この定義の下の補題.$\Phi(e_i,f_j)$が $T$ の基底になることと,定義の(T1),(T2)の同値性.
まずは,十分性より.

証明の式を正確に追いたかったので,行列表記をして,$i,j,k,r$の大きさと整合性をチェックしている.

次に必要性.ここも教科書の記述をトレースしながら,言葉を補った.

ふぅ.難しい.
p.213 一次写像の空間
少し前戻りしました。一次写像 $\mathscr{L}(V,V') = V' \otimes V^*$ を示した後で、このことに慣れる問題です。
$\quad \phi_{x\prime,f} : V \ni x \quad \rightarrow \quad <f,x>x' \in V' $
$V$の双対空間の元と、$V'$を使って写像を定義できる、という話です。$x$ から、$\lt f,x \gt$でスカラーに落とし、それを、$V'$の元 $x'$の方向倍率とします。理解のための練習演算。
(以下,順次追加していきます)















































