Googleサイトには数式を入力する機能はありません。
MathJaxのHTMLを埋め込むことで、簡単に数式を$\LaTeX$形式入力することができます。
1. Google SitesでHTML埋め込み画面にする
Google Sitesで、任意の場所をダブルクリックして、左側の「埋め込む」のボタンをクリックします。

2. 数式を入力する
「埋め込みコード」で、以下のように$$と$$の間に数式を書きます。
<body>
<!DOCTYPE html>
<html>
<head>
<script type="text/javascript" id="MathJax-script" async
src="https://cdn.jsdelivr.net/npm/mathjax@3/es5/tex-chtml.js">
</script>
</head>
$$
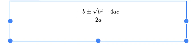
\frac{-b\pm\sqrt{b^2-4ac}}{2a}
$$
</body>
</html>
すると、プレビュー画面で、きちんとMathJaxで数式が美しく表示されます。

「保存」をクリックすると、無事に埋め込まれました。
コピペ用にこちらをお使いください。
コピペ用
<body>
<!DOCTYPE html>
<html>
<head>
<script type="text/javascript" id="MathJax-script" async
src="https://cdn.jsdelivr.net/npm/mathjax@3/es5/tex-chtml.js">
</script>
</head>
$$
$$
</body>
</html>

