はじめに
今年(2022年)4月に改正されたJIS G5502 球状黒鉛鋳鉄品のISO法による黒鉛球状化率の測定では、画像処理を用いて次の①または②の方法で求めると規定されています。
①ISO945-1の黒鉛形状区分のタイプⅥおよびⅤに分類される黒鉛の全面積を、全黒鉛の面積で割って求める
②丸み係数が0.6以上の黒鉛の面積を、全黒鉛粒子の面積で割って求める
ここで、方法①で球状化率を求める場合、JISでは具体的な方法は規定されていませんので、組織画像からタイプⅥおよびⅤに相当する黒鉛を何らかの方法で分類する必要があります。
ここでは、手始めとして、ISO945-1のFig.1のタイプⅠ~Ⅵの黒鉛形状を丸み係数で分類できるか調べてみました。
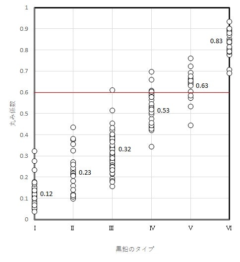
ISO945-1のタイプⅠ~Ⅵの丸み係数
タイプⅠ~Ⅵにおける個々の黒鉛の丸み係数を求めた結果を下図に示します。図において、白丸は個々の黒鉛の丸み係数で、数字は各タイプの丸み係数の平均値です。また、図中の赤線は丸み係数0.6の位置を表しています。図より、タイプⅤの黒鉛でも丸み係数が0.6未満のものがあることや、タイプⅢおよびⅣでも丸み係数が0.6以上のものがあることが分かります。このことから、ISO945-1のタイプⅤ、Ⅵの黒鉛を丸み係数だけでタイプⅠ~Ⅳと完全に分類するのは難しいことが分かります。
