〇 ニューラルネットワークの「重み」はなんで必要なの?
【結論】
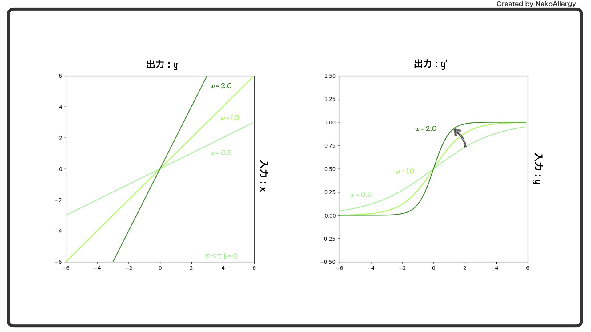
重みを変化させたらグラフが変化します。
▷重みの値を大きくしたら、活性化関数のグラフは急になっていく
▷重みの値を小さくしたら、活性化関数のグラフは緩やかになっていく
【解説】
1つの入力ニューロンが順伝播するシンプルな例を考えました。
活性化関数にはSigmoid関数を使用しました。
最初の計算では、出力 y は線形(まっすぐ線)なグラフになります。
▷ y=wx+b
その結果を活性化関数に通すと、非線形(ぐにゃぐにゃ線)なグラフになります。
▷ y'=1/(1+(-y))
重みの値を変化させたら、グラフの形が変化していくことが分かります。
〇 ニューラルネットワークの「バイアス」はなんで必要なの?
【結論】
バイアスを変化させたらグラフが変化します。
▷バイアスの値を大きくしたら、活性化関数のグラフは右(プラス)方向に平行移動していく
▷バイアスの値を小さくしたら、活性化関数のグラフは左(マイナス)方向に平行移動していく

まとめ
重みとバイアス(あわせてパラメータ)の値を変えると、グラフの形を自在に変化させることができます。
機械学習ではこれを自動で行ってくれて、理想のグラフに近づけていきます。
人工知能/AI/機械学習をもっと詳しく
「ねこアレルギーのAI」
https://t.co/4ltE8gzBVv?amp=1
YouTubeで機械学習について発信しています。
お時間ある方は覗いていただけると喜びます。



