2021 - 2022シーズンのサッカープレミアリーグの結果を基に、各チームの強さをスコア化し、信頼区間を求めて順位の妥当性を検証してみます。
こちらのサイトのデータを使用しました。
https://www.football-data.co.uk/englandm.php
モデル
単純な回帰モデルで検証します。
強さを測る指標は勝ち点$Y$
各チームのシュート数$X_1$、被シュート数$X_2$の時、各効果量を$b_1$、$b_2$とした時、切片$a$を加えた以下のモデルで強さを算出します。
$Y = a + b_1X_1 + b_1X_2$
$a$、$b_1$、$b_2$は全チーム共通の値です。
検証
使用データ
引用したデータを整形し、各チーム毎にシュート数 (Shots)、被シュート数 (GivenShots)、勝ち点 (Points)をまとめます。
分析結果の振り返りのため、各チームのカップ戦の出場権 (CL, EL, ECL)、プレミアリーグ残留 (Keep)、下部リーグ降格 (Relegate)の条件を付したstatusも加えました。
> d_team
# A tibble: 20 x 4
Team Shots GivenShots Points status
<chr> <int> <int> <dbl> <chr>
1 Man City 715 237 93 CL
2 Liverpool 730 296 92 CL
3 Chelsea 592 341 74 CL
4 Tottenham 491 481 71 CL
5 Arsenal 588 425 69 EL
6 Man United 508 511 58 EL
7 West Ham 433 548 56 ECL
8 Leicester 435 558 52 Keep
9 Brighton 490 476 51 Keep
10 Wolves 402 511 51 Keep
11 Newcastle 448 520 49 Keep
12 Crystal Palace 412 443 48 Keep
13 Brentford 442 502 46 Keep
14 Aston Villa 454 477 45 Keep
15 Southampton 482 497 40 Keep
16 Everton 438 522 39 Keep
17 Leeds 485 582 38 Keep
18 Burnley 407 603 35 Relegate
19 Watford 396 561 23 Relegate
20 Norwich 374 631 22 Relegate
stanモデリング
stanコードは以下の通りです。
data {
int<lower=0> N;
int<lower=0> S[N];
int<lower=0> G_S[N];
int<lower=0> P[N];
}
parameters {
real<lower=0> sigma;
real a;
real b1;
real b2;
}
transformed parameters{
real mu[N];
for (n in 1:N) {
mu[n] = a + b1*S[n] + b2*G_S[n];
}
}
model {
for (n in 1:N) {
P[n] ~ normal(mu[n], sigma);
}
}
インプットするデータはチーム数$N$、シュート数$S$、被シュート数$G\_S$、勝ち点$P$
推定するパラメータは切片$a$、シュート数効果$b_1$、被シュート数効果$b_2$、勝ち点のばらつき$sigma$です。
実行結果
dat <- list(N = nrow(d_team), S=d_team$Shots, G_S=d_team$GivenShots, P=d_team$Points)
fit <- stan(file = 'hierarchical_bayesian_model.stan', data = dat, seed = 1234)
> fit
Inference for Stan model: hierarchical_bayesian_model.
4 chains, each with iter=2000; warmup=1000; thin=1;
post-warmup draws per chain=1000, total post-warmup draws=4000.
mean se_mean sd 2.5% 25% 50% 75% 97.5% n_eff Rhat
sigma 9.26 0.06 1.82 6.52 7.97 8.98 10.24 13.65 919 1
a 48.18 1.43 44.72 -41.40 18.74 46.95 77.00 134.17 978 1
b1 0.10 0.00 0.05 0.00 0.07 0.10 0.13 0.19 1030 1
b2 -0.09 0.00 0.05 -0.18 -0.12 -0.09 -0.06 0.01 1021 1
mu[1] 96.23 0.10 5.81 84.87 92.41 96.23 100.04 107.88 3579 1
mu[2] 92.54 0.12 5.96 80.60 88.82 92.42 96.54 104.54 2544 1
mu[3] 75.38 0.08 3.90 67.91 72.78 75.35 77.95 83.41 2244 1
mu[4] 53.52 0.03 2.10 49.29 52.16 53.49 54.85 57.77 3901 1
mu[5] 67.70 0.07 3.41 60.77 65.55 67.68 69.95 74.54 2146 1
mu[6] 52.54 0.07 2.99 46.47 50.62 52.57 54.45 58.46 1728 1
mu[7] 42.13 0.04 2.47 37.23 40.52 42.16 43.75 47.03 4012 1
mu[8] 41.45 0.05 2.64 36.12 39.74 41.50 43.20 46.58 3357 1
mu[9] 53.86 0.04 2.12 49.62 52.47 53.84 55.21 58.15 3420 1
mu[10] 42.37 0.10 3.69 35.19 39.97 42.32 44.71 49.90 1345 1
mu[11] 46.00 0.04 2.25 41.53 44.54 46.01 47.45 50.67 3815 1
mu[12] 49.24 0.18 5.81 37.73 45.42 49.04 53.14 60.58 1038 1
mu[13] 46.99 0.06 2.57 41.91 45.35 46.93 48.62 52.36 1920 1
mu[14] 50.31 0.07 2.85 44.71 48.45 50.22 52.14 56.09 1480 1
mu[15] 51.26 0.03 2.12 46.93 49.87 51.30 52.62 55.52 3944 1
mu[16] 44.87 0.04 2.37 40.19 43.34 44.84 46.34 49.77 3030 1
mu[17] 44.17 0.14 4.89 34.25 41.02 44.27 47.42 53.87 1266 1
mu[18] 34.85 0.07 3.42 27.91 32.61 34.94 37.06 41.54 2632 1
mu[19] 37.45 0.05 2.89 31.78 35.58 37.45 39.23 43.36 3062 1
mu[20] 29.25 0.07 3.79 21.50 26.71 29.28 31.71 36.62 3134 1
lp__ -51.42 0.05 1.58 -55.43 -52.27 -51.05 -50.23 -49.45 1043 1
可視化
分析結果を可視化します。
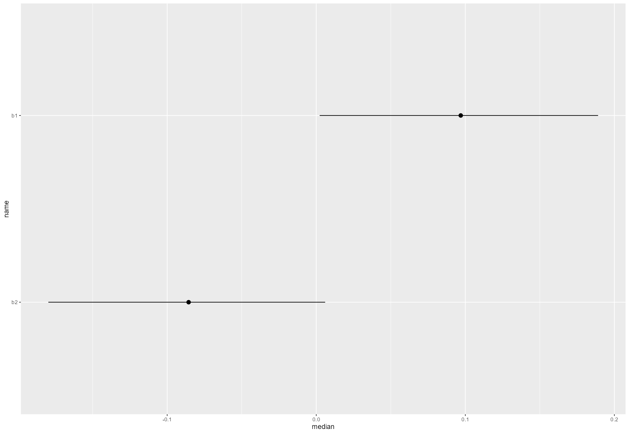
パラメータb1, b2
シュート数に関するパラメータb1は95%s信頼区間で0をまたぐことなく正の値を取っています。
一方被シュート数に関するパラメータb2は95%s信頼区間で0をまたいでいます。
シュート数が勝ち点にポジティブに与える影響と被シュート数が勝ち点にネガティブに与える影響では、前者のほうが信頼性が高そうです。
勝ち点
各チームの勝ち点推定値の中央値、95%信頼区間を可視化します。
マンチェスターシティ、リヴァプールの上位2チームは文句なしに見えます。
惜しくもCL出場権を逃したアーセナルは実力的には4位に食い込む力がありそうですが、他の要因もあり順位を落としてしまったのでしょうか。
9位のブライトンも推定値ではカップ戦出場権を勝ち得ていてもおかしくないですね。シーズン通した試合の戦い方や運用の仕方が肝となりそうです。
降格してしまった下位3チームは仕方ないといったところでしょうか。
まとめ
シュート数と被シュート数だけでもおおむね納得感のある結果が出ました。しかしカップ戦がかかるくらい上位の戦いになると、それ以外の要因も大きくかかわってきそうです。今年のプレミアリーグも楽しみですね。
参考資料
サッカーデータまとめサイト
https://www.football-data.co.uk/englandm.php
アヒル本
StanとRでベイズ統計モデリング

