本記事は数学講座2.18連続関数の演算と初等関数の連続性を勉強して投稿したメモです。詳細は元の素晴らしい講座のページをチェックしてください。
和、差、積、商の連続性
定理:
関数 $f(x)$ と $g(x)$ が $x_0$ で連続であるとき、それらの和(差) $f±g$、積 $f・g$ および商 $\displaystyle\frac{f}{g} (g(x_0) ≠ 0$) も $x_0$ で連続です。
逆関数の連続性
定理:
関数 $y=f(x)$ が区間 $I_x$上で狭義単調増加(または単調減少)かつ連続 である場合、その逆関数 $x=f^{-1}(y)$ も対応する区間 $I_y={y|y=f(x),x\in I_x}$ 上で狭義単調増加(または単調減少)かつ連続です。
合成関数の連続性
定理1:
関数 $y=f[\ g(x)\ ]$ が関数 $u=g(x)$ と関数 $y=f(u)$ の合成であり、$y=f[\ g(x)\ ]$ が $\mathring{U}(x_0)$ で定義されている場合、$\displaystyle\lim_{x\to x_0}g(x)=u_0 $であり、関数 $y=f(u)$ が $u_0$ で連続であるならば、次のようになります:
$\displaystyle \lim_{x\to x_0}f[\ g(x)\ ]=\lim_{u\to u_0}f(u)=f(u_0)$
また、以下のようにも表記できます(つまり、$\displaystyle\lim_{x\to x_0}$ の記号は連続関数 f を貫通することができます):
$\lim_{x\to x_0}f[\ g(x)\ ]=f[\lim_{x\to x_0}g(x)]=f(u_0)$
定理2:
関数 $y=f[\ g(x)\ ]$ が関数 $u=g(x)$ と関数 $y=f(u)$ の合成であり、$y=f[\ g(x)\ ]$ が $\mathring{U}(x_0)$ で定義されている場合、関数 $y=g(x)$ が $x_0$ で連続であり、$g(x_0)=u_0$ であり、また関数 $y=f(u)$ が $u_0$ で連続であるならば、関数 $y=f[\ g(x)\ ]$ も $x_0$ で連続です。
初等関数の連続性
下記の表中の関数は、基本初等関数(Basic elementary functions) と呼ばれ、全ての基本初等関数が自然定義域上で連続関数であることが証明されています。

定数と基本初等関数の有限回の四則演算と有限回の合成で構成され、また一つの式で表される関数を初等関数(Elementary functions) と呼びます。例えば:
$y=\sqrt{1-x^2},\quad y=\sin^2 x,\quad y=\ln\sin x$
連続関数の和、差、積、商の連続性および合成関数の連続性により、初等関数も自然定義域上で連続関数であることがわかります。
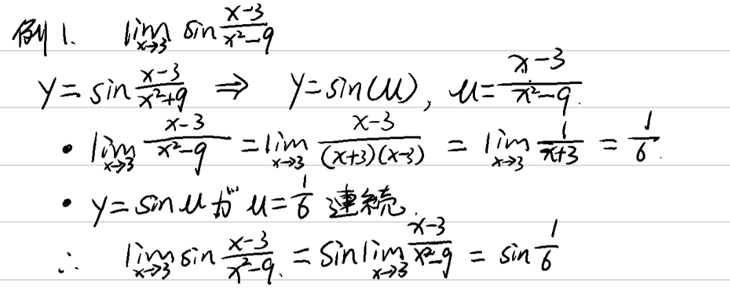
極限解の例題
参考情報

