最適化アルゴリズム
最適化アルゴリズムとは、機械学習に伴う損失をできるだけ少なくするための手法。
しかし、損失を完全にゼロにすることはほぼ不可能。
そこで、最適化アルゴリズムを用いて、損失を限りなくゼロに近づける努力がされている。
※損失とは、機械学習を行う際の予測値と結果との差のこと。
Code Sample in Adam
type Adam struct {
// learning rate
lr float64
// coefficients for moving averages of gradients (beta1, beta2)
beta1, beta2 float64
// dictionary to store moving averages and squared moving averages of parameters
m, v map[string][]float64
// parameter update count
t int
}
func newAdam(lr, beta1, beta2 float64, params map[string][]float64) *Adam {
m := make(map[string][]float64)
v := make(map[string][]float64)
for key, val := range params {
m[key] = make([]float64, len(val))
v[key] = make([]float64, len(val))
}
return &Adam{lr: lr, beta1: beta1, beta2: beta2, m: m, v: v}
}
func (a *Adam) update(params, grads map[string][]float64) {
a.t++
for key := range params {
// Update m, v
for i := 0; i < len(params[key]); i++ {
a.m[key][i] += (1.0 - a.beta1) * (grads[key][i] - a.m[key][i])
a.v[key][i] += (1.0 - a.beta2) * (grads[key][i]*grads[key][i] - a.v[key][i])
}
// Correct m, v
mb := make([]float64, len(params[key]))
vb := make([]float64, len(params[key]))
for i := 0; i < len(params[key]); i++ {
mb[i] = a.m[key][i] / (1.0 - a.beta1)
vb[i] = a.v[key][i] / (1.0 - a.beta2)
}
// Update parameters
for i := 0; i < len(params[key]); i++ {
params[key][i] -= a.lr * mb[i] / (vb[i] + 1e-7)
}
}
}
func PorocessingAdam(params map[string][]float64, grads map[string][]float64) {
// Creating Adam object
adam := newAdam(0.001, 0.9, 0.999, params)
// Updating parameters
adam.update(params, grads)
// Checking updated parameters
fmt.Printf("Adam: %+v\n", params)
}
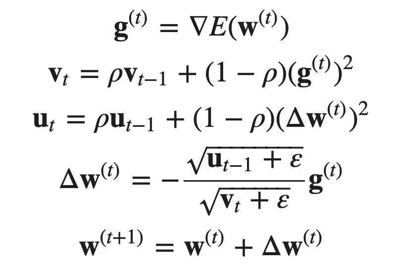
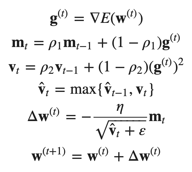
Formula
SGD(Stochastic Gradient Descent)
AdaGrad
RMSprop
AdaDelta
Adam
Nadam
AMSGrad
AdaBound
Output Sample
~/Go_Optimizer $ go build -o main main.go
~/Go_Optimizer $ ./main
SGD: map[bias:[0.1] weight:[0.5 0.3 -0.1]]
AdaGrad: map[bias:[0.1] weight:[0.5 0.3 -0.1]]
AdaDelta: map[bias:[0.1] weight:[0.5 0.3 -0.1]]
RMSprop: map[bias:[0.1] weight:[0.5 0.3 -0.1]]
Adam: map[bias:[0.1] weight:[0.5 0.3 -0.1]]
Nadam: map[bias:[0.1] weight:[0.5 0.3 -0.1]]
AMSGrad: map[bias:[0.1] weight:[0.5 0.3 -0.1]]
AdaBound: map[bias:[0.1] weight:[0.5 0.3 -0.1]]
GitHub







