KMeans法を実装したくて、集合知プログラミング本を読んでいる途中のメモ。
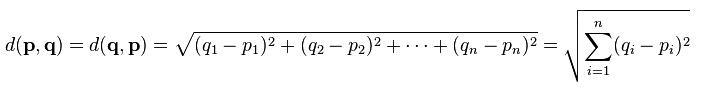
ユークリッド距離の計算方法は以下の通り。(Wikipediaより)
以下、コード+試験。エラー処理などは特になし。
EuclidDistance.php
<?php
function distance($data1, $data2) {
$num = 0;
for ($i = 0; $i < sizeof($data1); $i++) {
$num += pow($data1[$i] - $data2[$i], 2);
}
return sqrt($num);
}
var_dump(distance(array(1, 1), array(4, 5)));//int(5)
